全球化学品在线数据库

2,2,3,3-四甲基环丙烷甲酰肼
[CAS 756830-97-4]

供应商
Achemica 瑞士
+41 (24) 466-2929
contact@achemica.com
化学品生产商(2010 年起)
深圳爱拓化学有限公司 中国
+86 13417589054/
info@atomaxchem.com,atomax.chemicals@gmail.com
QQ 交流
化学品生产商
基本信息
产品名称 2,2,3,3-四甲基环丙烷甲酰肼
英文名 2,2,3,3-Tetramethylcyclopropanecarbohydrazide
别名 2,2,3,3-Tetramethyl-cyclopropanecarboxylic acid hydrazide; CYCLOPROPANECARBOXYLICACID, 2,2,3,3-TETRAMETHYL-, HYDRAZIDE
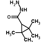
分子结构 CAS 登录号:756830-97-4, 2,2,3,3-四甲基环丙烷甲酰肼
分子式 C8H16N2O
分子量 156.23
CAS 登录号 756830-97-4
分子行输入简码 SMILES CC1(C(C1(C)C)C(=O)NN)C
国际化学标识码 InChI 1S/C8H16N2O/c1-7(2)5(6(11)10-9)8(7,3)4/h5H,9H2,1-4H3,(H,10,11)
国际化学标识检索码 InChIKey NMEQIHYSRQIBRW-UHFFFAOYSA-N
物理化学性质
密度 1.0±0.1g/cm3 (计算值)
沸点 261.9±7.0°C at 760 mmHg (计算值)
闪点 112.2±18.2°C (计算值)
折射率 1.474 (计算值)
市场分析报告
相关产品
N,N,N',N'-四甲基胍叠...  2,2,5,9-四甲基癸-4,...  四甲基癸二胺  四甲基癸炔二醇  四甲基硅烷  1,1,2,5-四甲基硅杂环戊...  1-(2,2,3,3-四甲基环...  2,2,3,3-四甲基环丙基甲...  1,1,2,2-四甲基环丙烷  2,2,3,3-四甲基环丙烷甲...  2,2,3,3-四甲基-环丙烷...  2,2,3,3-四甲基环丙烷-...  四甲基环丁二烯二氯化镍  1-(2,2,4,4-四甲基环...  N,N,3,3-四甲基环丁烷甲...  2,2,3,4-四甲基环丁烷酮  1,3,7,8-四甲基黄嘌呤  1,1,4,4-四甲基-环癸烷  N,N,N',N'-四甲基磺酰...  1,5,5,6-四甲基环己-1...