全球化学品在线数据库

N-羟基-2,2,3,3-四甲基环丙烷甲酰胺
[CAS 756830-94-1]

供应商
Achemica 瑞士
+41 (24) 466-2929
contact@achemica.com
化学品生产商(2010 年起)
深圳爱拓化学有限公司 中国
+86 13417589054/
info@atomaxchem.com,atomax.chemicals@gmail.com
QQ 交流
化学品生产商
基本信息
产品名称 N-羟基-2,2,3,3-四甲基环丙烷甲酰胺
英文名 N-Hydroxy-2,2,3,3-tetramethylcyclopropanecarboxamide
别名 2,2,3,3-Tetramethyl-cyclopropanecarboxylic acid hydroxyamide
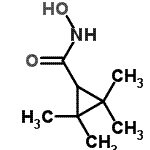
分子结构 CAS 登录号:756830-94-1, N-羟基-2,2,3,3-四甲基环丙烷甲酰胺
分子式 C8H15NO2
分子量 157.21
CAS 登录号 756830-94-1
分子行输入简码 SMILES CC1(C(C1(C)C)C(=O)NO)C
国际化学标识码 InChI 1S/C8H15NO2/c1-7(2)5(6(10)9-11)8(7,3)4/h5,11H,1-4H3,(H,9,10)
国际化学标识检索码 InChIKey SKMMNJFFVAHDNW-UHFFFAOYSA-N
物理化学性质
密度 1.0±0.1g/cm3 (计算值)
折射率 1.47 (计算值)
市场分析报告
相关产品
3-羟基-2,10,13-三甲...  11alpha-羟基-2,12...  (2R,8R,9S,10R,1...  (2S,8S,13S,14S,...  (2R,8R,9S,10R,1...  (8R,9S,10R,13S,...  4'-羟基-2,2,2-三氟苯...  N-(1-羟基-2,2,2-三...  N-(1-羟基-2,2,2-三...  1-羟基-2,2,2-三氯乙基...  6-羟基-2,2',3,4,4...  4-羟基-2,2',3,4',...  1-(1-羟基-2,2,3,5...  3alpha-羟基-2,2,3...  4-(3-羟基-2,2,3-三...  N-羟基-2,2,4,4-四甲...  6-羟基-2,2',4,4'-...  1-羟基-2,2,4,5,5-...  1-羟基-2,2,4,5,5-...  (6R)-6'-羟基-2',2...