全球化学品在线数据库

壳七糖
[CAS 68232-35-9]

供应商目录
青岛博智汇力生物科技有限公司 中国
www.marine-oligo.com
+86 (532) 8192-6227
+86 (532) 8192-6219
ann@marine-oligo.com
化学品生产商 (2010年起)
chemBlink 标准供应商 (2016年起)
卡博森斯化学科技 (苏州) 有限公司 中国
www.carbosynth.cn
+86 (512) 6260-5585
+86 (512) 6260-5576
sales@carbosynth.com
QQ Chat
化学品生产商 (2006年起)
chemBlink 标准供应商 (2016年起)

基本信息
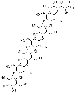
产品名称壳七糖
英文名Chitoheptaose
别名O-2-Amino-2-deoxy-beta-D-glucopyranosyl-(1→4)-O-2-amino-2-deoxy-beta-D-glucopyranosyl-(1→4)-O-2-amino-2-deoxy-beta-D-glucopyranosyl-(1→4)-O-2-amino-2-deoxy-beta-D-glucopyranosyl-(1→4)-O-2-amino-2-deoxy-beta-D-glucopyranosyl-(1→4)-O-2-amino-2-deoxy-beta-D-glucopyranosyl-(1→4)-2-amino-2-deoxy-D-glucose
分子结构壳七糖分子结构 (CAS 68232-35-9)
分子式C42H79N7O29
分子量1146.11
CAS 登录号68232-35-9
物理化学性质
溶解度极易溶解 (1000 g/L) (25 °C), 计算值*
密度1.72±0.1 g/cm3 (20 °C 760 Torr), 计算值*
*使用计算机软件 Advanced Chemistry Development (ACD/Labs) Software V11.02 (©1994-2016 ACD/Labs)
市场分析报告
相关产品
Kenidine  Kenimbine  克尼托喹  Kenpaullone  肯普肽  Ken-React NZ 37  柯诺辛  柯诺辛 B  柯蒲木酮碱  氪气  壳溶胶 D 7  可溶性淀粉  可溶性还原红 1  可溶性硫化黑 1  可溶性硫化绿 3  壳三糖  克杀螨  克氏千里光碱  壳梭孢素  可他宁邻苯二甲酸酯