| Alfa Chemistry | 美国 | |||
|---|---|---|---|---|
![]() |
+1 (201) 478-8534 | |||
![]() |
inquiry@alfa-chemistry.com | |||
| 化学品供销商(2012 年起) | ||||
| chemBlink 标准供应商(2012 年起) | ||||
| BOC Sciences | 美国 | |||
|---|---|---|---|---|
![]() |
+1 (631) 485-4226 | |||
![]() |
info@bocsci.com | |||
![]() |
Skype 聊天 | |||
| 化学品供销商 | ||||
| chemBlink 集群供应商(2012 年起) | ||||
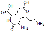
| 产品名称 | L-赖氨酰-L-谷氨酸 |
|---|---|
| 英文名 | L-Lysyl-L-Glutamic Acid |
| 分子结构 | ![]() |
| CAS 登录号 | 5891-46-3 |
| 市场分析报告 |