基本信息
| 产品名称 |
2-(2-二乙基氨基乙氧基)乙基 2-甲基-1,3-苯并二氧戊环-2-乙酸酯 |
| 英文名 |
2-(2-Diethylaminoethoxy)Ethyl 2-Methyl-1,3-Benzodioxole-2-Acetate |
| 别名 |
Citric Acid; 2-(2-Diethylaminoethoxy)Ethyl 2-(2-Methyl-1,3-Benzodioxol-2-Yl)Acetate; Citric Acid; 2-(2-Methyl-1,3-Benzodioxol-2-Yl)Acetic Acid 2-(2-Diethylaminoethoxy)Ethyl Ester; 2-(2-Diethylaminoethoxy)Ethyl 2-(2-Methyl-1,3-Benzodioxol-2-Yl)Ethanoate; 2-Hydroxypropane-1,2,3-Tricarboxylic Acid |
|
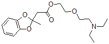
| 分子结构 |
 |
| 分子式 |
C24H35NO12 |
| 分子量 |
529.54 |
| CAS 登录号 |
51140-23-9 |
| 分子行输入简码 SMILES |
C1=CC=CC2=C1OC(O2)(CC(OCCOCCN(CC)CC)=O)C.C(C(O)(C(=O)O)CC(=O)O)C(=O)O |
| 国际化学标识码 InChI |
1S/C18H27NO5.C6H8O7/c1-4-19(5-2)10-11-21-12-13-22-17(20)14-18(3)23-15-8-6-7-9-16(15)24-18;7-3(8)1-6(13,5(11)12)2-4(9)10/h6-9H,4-5,10-14H2,1-3H3;13H,1-2H2,(H,7,8)(H,9,10)(H,11,12) |
| 国际化学标识检索码 InChIKey |
VHVLWKPUQQRDGK-UHFFFAOYSA-N |
|