全球化学品在线数据库

6-(4-二甲基氨基-3-羟基-6-甲基-四氢吡喃-2-基)氧基-8,14-二羟基-5,7,9,12,13,15-六甲基-1,11-6-(4-二甲基氨基-3-羟基-6-甲基-四氢吡喃-2-基)氧基-8,14-二羟基-5,7,9,12,13,15-六甲基-1,11-二氧杂螺[2.13]十六烷-10,16-二酮
[CAS 4166-78-3]

供应商
CAS#: 4166-78-3
产品: 6-(4-二甲基氨基-3-羟基-6-甲基-四氢吡喃-2-基)氧基-8,14-二羟基-5,7,9,12,13,15-六甲基-1,11-6-(4-二甲基氨基-3-羟基-6-甲基-四氢吡喃-2-基)氧基-8,14-二羟基-5,7,9,12,13,15-六甲基-1,11-二氧杂螺[2.13]十六烷-10,16-二酮
暂时没有厂家供应该产品。
基本信息
产品名称 6-(4-二甲基氨基-3-羟基-6-甲基-四氢吡喃-2-基)氧基-8,14-二羟基-5,7,9,12,13,15-六甲基-1,11-6-(4-二甲基氨基-3-羟基-6-甲基-四氢吡喃-2-基)氧基-8,14-二羟基-5,7,9,12,13,15-六甲基-1,11-二氧杂螺[2.13]十六烷-10,16-二酮
英文名 6-(4-Dimethylamino-3-hydroxy-6-methyl-oxan-2-yl)oxy-8,14-dihydroxy-5,7,9,12,13,15-hexamethyl-1,11-6-(4-dimethylamino-3-hydroxy-6-methyl-oxan-2-yl)oxy-8,14-dihydroxy-5,7,9,12,13,15-hexamethyl-1,11-dioxaspiro[2.13]hexadecane-10,16-dione
别名 6-(4-Dimethylamino-3-Hydroxy-6-Methyl-Tetrahydropyran-2-Yl)Oxy-8,14-Dihydroxy-5,7,9,12,13,15-Hexamethyl-1,11-Dioxaspiro[2.13]Hexadecane-10,16-Dione; 6-[(4-Dimethylamino-3-Hydroxy-6-Methyl-2-Tetrahydropyranyl)Oxy]-8,14-Dihydroxy-5,7,9,12,13,15-Hexamethyl-1,11-Dioxaspiro[2.13]Hexadecane-10,16-Dione; 6-(4-Dimethylamino-3-Hydroxy-6-Methyl-Tetrahydropyran-2-Yl)Oxy-8,14-Dihydroxy-5,7,9,12,13,15-Hexamethyl-1,11-Dioxaspiro[2.13]Hexadecane-10,16-Quinone
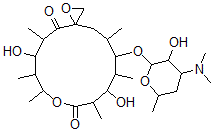
分子结构 CAS 登录号:4166-78-3, 6-(4-二甲基氨基-3-羟基-6-甲基-四氢吡喃-2-基)氧基-8,14-二羟基-5,7,9,12,13,15-六甲基-1,11-6-(4-二甲基氨基-3-羟基-6-甲基-四氢吡喃-2-基)氧基-8,14-二羟基-5,7,9,12,13,15-六甲基-1,11-二氧杂螺[2.13]十六烷-10,16-二酮
分子式 C28H49NO9
分子量 543.70
CAS 登录号 4166-78-3
分子行输入简码 SMILES CC3C(=O)C1(OC1)CC(C(OC2OC(CC(N(C)C)C2O)C)C(C(O)C(C(OC(C(C3O)C)C)=O)C)C)C
国际化学标识码 InChI 1S/C28H49NO9/c1-13-11-28(12-35-28)25(33)17(5)21(30)15(3)19(7)37-26(34)18(6)22(31)16(4)24(13)38-27-23(32)20(29(8)9)10-14(2)36-27/h13-24,27,30-32H,10-12H2,1-9H3
国际化学标识检索码 InChIKey NTKKUEDJAPFWRV-UHFFFAOYSA-N
物理化学性质
密度 1.196g/cm3 (计算值)
沸点 707.044°C at 760 mmHg (计算值)
闪点 381.407°C (计算值)
市场分析报告
相关产品
(2S)-2-[[(2S)-2...  (2S,3R)-2-二甲基氨基...  4-(1-二甲基氨基-3-甲基...  2-二甲基氨基-3-氯-1,4...  1-二甲基氨基-3-萘-2-基...  1-二甲基氨基-3-萘-1-基...  6-(4-二甲基氨基-3-羟基...  (3E,11E,13Z)-6-...  (11Z,13E)-6-(4-...  10-(4-二甲基氨基-3-羟...  (3R,4S,5S,6R,7R...  2-[(5S,6R,7R,9R...  (3E,5S,6S,7S,9R...  (2R,3S,7R,9S,10...  [(E)-2-二甲基氨基-3-...  4-(4'-二甲基氨基-3'-...  4-二甲基氨基-3-硝基苯甲酸  4-二甲基氨基-3-硝基三氟甲...  2-二甲基氨基-3-硝基芴  4-二甲基氨基-3-氧代-2-...