全球化学品在线数据库

N,N-二甲基腺苷酰-(3'-5')-N,N-二甲基-腺苷
[CAS 2273-75-8]

供应商
CAS#: 2273-75-8
产品: N,N-二甲基腺苷酰-(3'-5')-N,N-二甲基-腺苷
暂时没有厂家供应该产品。
基本信息
产品名称 N,N-二甲基腺苷酰-(3'-5')-N,N-二甲基-腺苷
英文名 N,N-Dimethyladenylyl-(3'-5')-N,N-dimethyl-Adenosine
别名 Bis[[(2R,3S,4R,5R)-5-(6-Dimethylaminopurin-9-Yl)-3,4-Dihydroxy-Tetrahydrofuran-2-Yl]Methyl] Hydrogen Phosphate; Bis[[(2R,3S,4R,5R)-5-(6-Dimethylamino-9-Purinyl)-3,4-Dihydroxy-2-Tetrahydrofuranyl]Methyl] Hydrogen Phosphate; Bis[[(2R,3S,4R,5R)-5-(6-Dimethylaminopurin-9-Yl)-3,4-Dihydroxy-Oxolan-2-Yl]Methyl] Hydrogen Phosphate
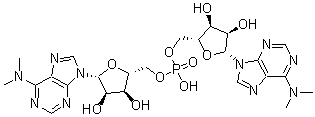
分子结构 CAS 登录号:2273-75-8, N,N-二甲基腺苷酰-(3'-5')-N,N-二甲基-腺苷
分子式 C24H33N10O10P
分子量 652.56
CAS 登录号 2273-75-8
分子行输入简码 SMILES [C@H]1(O[C@@H]([C@@H](O)[C@H]1O)CO[P](OC[C@H]4O[C@@H]([N]2C3=C(N=C2)C(=NC=N3)N(C)C)[C@H](O)[C@@H]4O)(=O)O)[N]5C6=C(N=C5)C(=NC=N6)N(C)C
国际化学标识码 InChI 1S/C24H33N10O10P/c1-31(2)19-13-21(27-7-25-19)33(9-29-13)23-17(37)15(35)11(43-23)5-41-45(39,40)42-6-12-16(36)18(38)24(44-12)34-10-30-14-20(32(3)4)26-8-28-22(14)34/h7-12,15-18,23-24,35-38H,5-6H2,1-4H3,(H,39,40)/t11-,12-,15-,16-,17-,18-,23-,24-/m1/s1
国际化学标识检索码 InChIKey OTEVSHVKJXUMGI-INLCHHDGSA-N
物理化学性质
密度 1.892g/cm3 (计算值)
沸点 978.965°C at 760 mmHg (计算值)
闪点 545.858°C (计算值)
市场分析报告
相关产品
2,2-二甲基戊酰胺  N,N-二甲基戊酰胺  N-(2,2-二甲基戊酰基)-...  (2,2-二甲基戊酰基)脲  二甲基锡  二甲基锡(++)  2-(二甲基酰胺基硫代羰基)六...  二甲基酰胺基乙氧基磷酰氰化物  N6,2-O-二甲基腺苷  N,N-二甲基-腺苷  二甲基腺苷酰胺  N,N-二甲基腺苷酰胺-d6  C-6,O-7-二甲基香橙素  二甲基硝胺  2,6-二甲基硝基苯; 2-硝...  2,5-二甲基硝基苯; 2-硝...  3,5-二甲基硝基苯; 5-硝...  4-(二甲基硝基r基)苯甲腈  1-[3-(二甲基硝基r基)丙...  4-({3-[2-(二甲基硝基...