全球化学品在线数据库

甲基9,10-二(2,2,2-三氟乙酰氧基)硬脂酸酯
[CAS 21987-19-9]

供应商
Achemica 瑞士
+41 (24) 466-2929
contact@achemica.com
化学品生产商(2010 年起)
基本信息
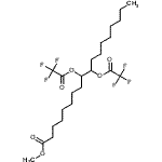
产品名称 甲基9,10-二(2,2,2-三氟乙酰氧基)硬脂酸酯
英文名 Methyl 9,10-Bis(2,2,2-Trifluoroacetoxy)Octadecanoate
别名 Methyl 9,10-bis[(trifluoroacetyl)oxy]octadecanoate #
分子结构 CAS 登录号:21987-19-9, 甲基9,10-二(2,2,2-三氟乙酰氧基)硬脂酸酯
分子式 C23H36F6O6
分子量 522.52
CAS 登录号 21987-19-9
分子行输入简码 SMILES O=C(OC(C(OC(=O)C(F)(F)F)CCCCCCCC(=O)OC)CCCCCCCC)C(F)(F)F
国际化学标识码 InChI 1S/C23H36F6O6/c1-3-4-5-6-8-11-14-17(34-20(31)22(24,25)26)18(35-21(32)23(27,28)29)15-12-9-7-10-13-16-19(30)33-2/h17-18H,3-16H2,1-2H3
国际化学标识检索码 InChIKey ABIVFLSDGLSYTC-UHFFFAOYSA-N
物理化学性质
密度 1.156g/cm3 (计算值)
沸点 473.23°C at 760 mmHg (计算值)
闪点 231.377°C (计算值)
折射率 1.421 (计算值)
市场分析报告
相关产品
甲基8-乙酰氧基-2-甲氧基-...  3-甲基-9-(1-甲基-2-...  8-甲基-9-(2-吡啶基)-...  甲基9-(2-丙基苯基)壬酸酯  甲基9-(2-蒽基)-9-氧代...  7-甲基-9-(2-氧代丙氧基...  甲基9-(3-二甲基氨基丙基氨...  10-甲基-9-(苯氧羰基)吖...  1-甲基9-(磺基氧基)硬脂酸...  甲基9,10,12,13,15...  2-甲基-9,10-二苯乙炔基...  甲基9,10-二去氢-6-甲基...  甲基9,10-二溴硬脂酸酯  甲基9,10-二氧代-9,10...  N,N'-{(2-甲基-9,1...  2-甲基-9,10-双(萘-2...  N-甲基-9,10-乙桥蒽-9...  N-甲基-9,10-乙桥蒽-9...  甲基9,12,13-三甲氧基硬...  32-甲基-9,30-二氧杂-...