全球化学品在线数据库

次氮基三乙酸铝盐
[CAS 19010-73-2]

供应商
CAS#: 19010-73-2
产品: 次氮基三乙酸铝盐
暂时没有厂家供应该产品。
基本信息
产品名称 次氮基三乙酸铝盐
英文名 Aluminium nitrilotriacetate
别名 Aluminum 2-[Bis(2-Oxido-2-Oxo-Ethyl)Amino]Acetate; Aluminum 2-[Bis(2-Keto-2-Oxido-Ethyl)Amino]Acetate; Aluminum 2-[Bis(2-Oxido-2-Oxo-Ethyl)Amino]Ethanoate
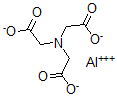
分子结构 CAS 登录号:19010-73-2, 次氮基三乙酸铝盐
分子式 C6H6AlNO6
分子量 215.10
CAS 登录号 19010-73-2
分子行输入简码 SMILES C(N(CC([O-])=O)CC([O-])=O)C([O-])=O.[Al+3]
国际化学标识码 InChI 1S/C6H9NO6.Al/c8-4(9)1-7(2-5(10)11)3-6(12)13;/h1-3H2,(H,8,9)(H,10,11)(H,12,13);/q;+3/p-3
国际化学标识检索码 InChIKey MWDVELXMWRAEHV-UHFFFAOYSA-K
物理化学性质
沸点 498.2°C at 760 mmHg (计算值)
闪点 255.1°C (计算值)
市场分析报告
相关产品
2,2,2-次氮基三乙基酒石酸...  2,2',2''-次氮基三乙基...  2,2',2''-次氮基三乙基...  2,2',2''-次氮基三乙基...  2,2',2''-次氮基三乙基...  2,2',2''-次氮基三乙基...  次氮基三乙酸-d9  次氮基三乙酸二钾盐  次氮基三乙酸二钠盐  次氮基三乙酸二钠盐单水合物  次氮基三乙酸钠盐; 氮川三乙酸...  次氮基三乙酸三钾盐  2,2',2'-次氮基三-乙酰...  次氮基三乙氧化铝  2-次氮基乙烷硫醇(4-氯苯基...  2-次氮基乙烷硫醇二(3-甲基...  2-次氮基乙烷硫醇二苯基锗  2-次氮基乙烷硫醇二戊基锗  2-次氮基乙烷硫醇甲基-(4-...  N,N',N''-(次氮三-2...