全球化学品在线数据库

N-[3-[3-[[2,3-二[(1-氧代十四烷基)氧基]丙基]硫代]-2,5-二氧代-1-吡咯烷基]-1-氧代丙基]-15-L-正亮氨酸-2-17-促胃泌素-17I(人)
[CAS 147666-79-3]

供应商
CAS#: 147666-79-3
产品: N-[3-[3-[[2,3-二[(1-氧代十四烷基)氧基]丙基]硫代]-2,5-二氧代-1-吡咯烷基]-1-氧代丙基]-15-L-正亮氨酸-2-17-促胃泌素-17I(人)
暂时没有厂家供应该产品。
基本信息
产品名称 N-[3-[3-[[2,3-二[(1-氧代十四烷基)氧基]丙基]硫代]-2,5-二氧代-1-吡咯烷基]-1-氧代丙基]-15-L-正亮氨酸-2-17-促胃泌素-17I(人)
英文名 N-[3-[3-[[2,3-Bis[(1-oxotetradecyl)oxy]propyl]thio]-2,5-dioxo-1-pyrrolidinyl]-1-oxopropyl]-15-L-norleucine-2-17-Gastrin-17 I(human)
别名 Dimyristoylmercaptoglycerol-Nalpha-Maleoyl-Beta-Alanyl-Norleucine-15-Little-Gastrin(2-17) Adduct; (2R,S)-1,2-Dimyristoyl-3-Mercaptoglycerol-Nalpha-Maleoyl-Beta-Alanyl-(Nle(15))-Human-Gastrin(2-17) Adduct; 19-34-Gastrin I (Pig), N-(3-(3-((2,3-Bis((1-Oxotetradecyl)Oxy)Propyl)Thio)-2,5-Dioxo-1-Pyrrolidinyl)-1-Oxopropyl)-22-L-Leucine-32-L-Norleucine-
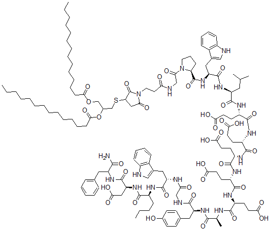
分子结构 CAS 登录号:147666-79-3, N-[3-[3-[[2,3-二[(1-氧代十四烷基)氧基]丙基]硫代]-2,5-二氧代-1-吡咯烷基]-1-氧代丙基]-15-L-正亮氨酸-2-17-促胃泌素-17I(人)
分子式 C131H186N20O36S
分子量 2649.08
CAS 登录号 147666-79-3
分子行输入简码 SMILES [C@@H](CC1=C[NH]C2=C1C=CC=C2)(NC(CNC([C@@H](NC([C@@H](NC([C@@H](NC([C@@H](NC([C@@H](NC([C@@H](NC([C@@H](NC([C@@H](NC([C@H](CC3=C[NH]C4=C3C=CC=C4)NC(=O)[C@@H]5CCCN5C(CNC(CCN6C(CC(SCC(COC(=O)CCCCCCCCCCCCC)OC(=O)CCCCCCCCCCCCC)C6=O)=O)=O)=O)=O)CC(C)C)=O)CCC(O)=O)=O)CCC(=O)O)=O)CCC(O)=O)=O)CCC(=O)O)=O)CCC(O)=O)=O)C)=O)CC7=CC=C(C=C7)O)=O)=O)C(N[C@H](C(N[C@H](C(=O)NC(CC8=CC=CC=C8)C(=O)N)CC(O)=O)=O)CCCC)=O
国际化学标识码 InChI 1S/C131H186N20O36S/c1-7-10-13-15-17-19-21-23-25-27-32-47-115(169)186-77-86(187-116(170)48-33-28-26-24-22-20-18-16-14-11-8-2)78-188-104-72-107(155)151(131(104)185)65-63-105(153)135-76-108(156)150-64-38-46-103(150)130(184)149-101(70-84-74-134-90-45-37-35-42-88(84)90)128(182)147-98(66-79(4)5)126(180)144-96(57-62-113(165)166)125(179)143-95(56-61-112(163)164)124(178)142-94(55-60-111(161)162)123(177)141-93(54-59-110(159)160)122(176)140-92(53-58-109(157)158)120(174)137-80(6)118(172)146-99(68-82-49-51-85(152)52-50-82)119(173)136-75-106(154)138-100(69-83-73-133-89-44-36-34-41-87(83)89)127(181)139-91(43-12-9-3)121(175)148-102(71-114(167)168)129(183)145-97(117(132)171)67-81-39-30-29-31-40-81/h29-31,34-37,39-42,44-45,49-52,73-74,79-80,86,91-104,133-134,152H,7-28,32-33,38,43,46-48,53-72,75-78H2,1-6H3,(H2,132,171)(H,135,153)(H,136,173)(H,137,174)(H,138,154)(H,139,181)(H,140,176)(H,141,177)(H,142,178)(H,143,179)(H,144,180)(H,145,183)(H,146,172)(H,147,182)(H,148,175)(H,149,184)(H,157,158)(H,159,160)(H,161,162)(H,163,164)(H,165,166)(H,167,168)/t80-,86?,91-,92-,93-,94-,95-,96-,97?,98-,99-,100-,101-,102-,103-,104?/m0/s1
国际化学标识检索码 InChIKey LDHMGKZTHNNIHB-ZPYCMFNYSA-N
市场分析报告
相关产品
二[(1S)-[1,1'-联萘...  N,N-二[(1S)-1-苯基...  N,N'-二[(1S)-1-苯...  二[(1S,2S,5R)-2-...  4,10-二[(1-氧代-2-...  4,10-二[(1-氧代-2-...  二[(1-氧代-2-丙烯基)氨...  3,5-二[(1-氧代丙基)氨...  2,3-二[(1-氧代十二烷基...  S-[2,3-二[(1-氧代十...  (17beta)-3,17-二...  2,3-二[(1-氧代辛基)氧...  2,3-二[(1-氧代辛基)氧...  2,3-二[(1-氧代辛基)氧...  2',7-二[(2,2,2-三...  3,4-二[(2,2,3,3,...  2,6-二[(2,2,6,6-...  N,N'-二[(2,2-二甲基...  3',6'-二[(2,2-二甲...  1,3-二[(2,2-二甲基-...