基本信息
| 产品名称 |
甲基丙烯酸甲酯-甲基丙烯酸正癸酯-甲基丙烯酸异冰片酯 |
| 英文名 |
Methylmethacrylate-n-decylmethacrylate-isobornylmethacrylate |
| 别名 |
Decyl 2-Methylprop-2-Enoate; Methyl 2-Methylprop-2-Enoate; [(1R,2S)-1,7,7-Trimethylnorbornan-2-Yl] 2-Methylprop-2-Enoate; 2-Methylprop-2-Enoic Acid Decyl Ester; 2-Methylprop-2-Enoic Acid Methyl Ester; 2-Methylprop-2-Enoic Acid [(1R,2S)-1,7,7-Trimethyl-2-Norbornanyl] Ester |
|
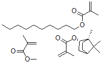
| 分子结构 |
 |
| 分子式 |
C33H56O6 |
| 分子量 |
548.80 |
| CAS 登录号 |
138366-79-7 |
| 分子行输入简码 SMILES |
[C@]12(C(C(C[C@@H]1OC(=O)C(=C)C)CC2)(C)C)C.C(OC(=O)C(=C)C)CCCCCCCCC.CC(C(OC)=O)=C |
| 国际化学标识码 InChI |
1S/C14H22O2.C14H26O2.C5H8O2/c1-9(2)12(15)16-11-8-10-6-7-14(11,5)13(10,3)4;1-4-5-6-7-8-9-10-11-12-16-14(15)13(2)3;1-4(2)5(6)7-3/h10-11H,1,6-8H2,2-5H3;2,4-12H2,1,3H3;1H2,2-3H3/t10?,11-,14-;;/m0../s1 |
| 国际化学标识检索码 InChIKey |
IZAVPYQSQCFPOV-JEHXZSQOSA-N |
|