全球化学品在线数据库

磷酸二氢铝
[CAS 13530-50-2]

供应商目录
合肥天健化工有限公司 中国
www.tnjchem.com
+86 (551) 6541-8684
+86 (551) 6541-8697
sales@tnjchem.com
化学品生产商 (2001年起)
chemBlink 标准供应商 (2010年起)
BOC Sciences 美国
www.bocsci.com
+1 (631) 485-4226
+1 (631) 614-7828
info@bocsci.com
化学品生产商
chemBlink 标准供应商 (2010年起)
石家庄市鑫盛化工有限公司 中国
www.sjzxschem.com
+86 (311) 8066-2933
+86 (311) 8596-5567
sales@sjzxschem.com
化学品生产商 (1993年起)
chemBlink 标准供应商 (2013年起)
Hangzhou Leap Chem Co., Ltd. 中国
www.leapchem.com
+86 (571) 8771-1850
market19@leapchem.com
QQ Chat
化学品生产商 (2006年起)
chemBlink 标准供应商 (2015年起)
Interchim Inc. 美国
www.interchiminc.com
+1 (800) 560-8262
info@interchiminc.com
化学品生产商
无锡市飞鹏进出口 (集团) 有限公司 中国
www.wuxifeipeng.com
+86 (510) 8750-8506
+86 (510) 8750-7220
tkx@feipengchem.com
化学品生产商

基本信息
产品分类无机化工 >> 无机盐 >> 磷化物、金属的磷酸、偏磷酸、次磷酸和焦磷酸盐
产品名称磷酸二氢铝
英文名Aluminum dihydrogen phosphate
别名Aluminium tris(dihydrogen phosphate)
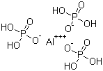
分子结构磷酸二氢铝分子结构 (CAS 13530-50-2)
分子式Al.(H2PO4)3
分子量317.94
CAS 登录号13530-50-2
EC 号码236-875-2
安全数据
防护标签S22;S24/25  说明
危害分类
up    说明
危害分类类别码危害标签
严重眼损伤Eye Dam.1H318
皮肤腐蚀Skin Corr.1BH314
生殖毒性Lact.-H362
生殖毒性Repr.1BH360
SDS化学品安全技术说明书参考文本
市场分析报告
相关产品
膦酸二钠盐  磷酸二钠盐水合物  磷酸二-N-癸基酯  磷酸二氢铵  磷酸二氢铵(氮15)  磷酸二氢钡  磷酸二氢钙  磷酸二氢钾  磷酸二氢甲基酯-环己胺盐(1:...  磷酸二氢锂  磷酸二氢镁  磷酸二氢锰  磷酸二氢钠  磷酸二氢钠  磷酸二氢钠  磷酸二氢钠(<sup>32</...  磷酸二氢钠一水合物  磷酸二氢锌  磷酸二氢异癸基酯  磷酸二肉豆蔻基酯