全球化学品在线数据库

N,N,N,N',N',N'-六丁基-1,6-己烷二铵二氢氧化物 化学品安全技术说明书 (CAS 69762-88-5)

本页面提供 N,N,N,N',N',N'-六丁基-1,6-己烷二铵二氢氧化物 (CAS 69762-88-5) 的化学品安全技术说明书 (SDS),包括危险性、急救措施、储存与操作要求等信息。用户可免费下载 SDS 文件用于实验室或工业参考。

产品概述

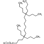
结构式 CAS# 69762-88-5, N,N,N,N',N',N'-六丁基-1,6-己烷二铵二氢氧化物
产品名称 N,N,N,N',N',N'-六丁基-1,6-己烷二铵二氢氧化物
CAS 登录号 69762-88-5
分子式 C30H68N2O2
分子量 488.87
N,N,N,N',N',N'-六丁基-1,6-己烷二铵二氢氧化物的详细资料
 
资料来源 SDS 样本
Alfa-Aesar
www.alfa.com/en/content/msds/USA/41725.pdf
浏览或下载

免责声明

本页所列之化学品安全技术说明书样本系 chemBlink 公司搜集的互联网公开信息,仅用于指导化学品安全技术说明书的编辑与制作。chemBlink 竭诚提供可靠信息,然而不承诺其完备与准确。 阅读全文...



常见问题 (FAQ)
什么是 SDS?   如何下载 SDS?   SDS 是否免费?   SDS 和 MSDS 有什么区别?



相关化学品安全技术说明书
2,5-二甲基-1-...   alpha-(二正丁...   2-甲基癸烷   6-十二碳炔   4-(甲基氨基)-丁...   双(2-羟乙基)氨基...   (R)-(-)-1-...   吗啉-4-甲酸乙酯   4-(3,4-二甲氧...   N,N-二甲基甲基丙...