全球化学品在线数据库

莱苞迪苷 C 化学品安全技术说明书 (CAS 63550-99-2)

本页面提供 莱苞迪苷 C (CAS 63550-99-2) 的化学品安全技术说明书 (SDS),包括危险性、急救措施、储存与操作要求等信息。用户可免费下载 SDS 文件用于实验室或工业参考。

产品概述

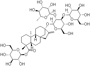
结构式 CAS# 63550-99-2, 莱苞迪苷 C; 瑞鲍迪甙 C
产品名称 莱苞迪苷 C
CAS 登录号 63550-99-2
分子式 C44H70O22
分子量 951.03
莱苞迪苷 C的详细资料
 
资料来源 SDS 样本
Sigma-Aldrich
www.sigmaaldrich.com/catalog/Lookup.do?N5=All&N3=mode+matchpartialmax&N1=S_ID&ST=RS&N25=0&F=PR&D7=0&N4=63550-99-2
浏览或下载
Matrix
www.matrixscientific.com/media/msds/09/79/63/MxMSDS_097963.pdf
浏览或下载
Cayman
www.caymanchem.com/msdss/11895m.pdf
浏览或下载

免责声明

本页所列之化学品安全技术说明书样本系 chemBlink 公司搜集的互联网公开信息,仅用于指导化学品安全技术说明书的编辑与制作。chemBlink 竭诚提供可靠信息,然而不承诺其完备与准确。 阅读全文...



常见问题 (FAQ)
什么是 SDS?   如何下载 SDS?   SDS 是否免费?   SDS 和 MSDS 有什么区别?



相关化学品安全技术说明书
4-巯基氢化肉桂酸   1,2,3,4-四氢...   艾捉非尼   2-[(二苯甲基)巯...   2-[(二苯基甲基)...   苯基丁二酸   2-(羧基甲氧基)苯...   3-(氯磺酰基)苯甲...   N-(3-氨基苯基)...   2,4,6-三[(对...