全球化学品在线数据库

Coatsome MG 6060LS 化学品安全技术说明书 (CAS 200880-41-7)

本页面提供 Coatsome MG 6060LS (CAS 200880-41-7) 的化学品安全技术说明书 (SDS),包括危险性、急救措施、储存与操作要求等信息。用户可免费下载 SDS 文件用于实验室或工业参考。

产品概述

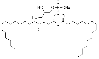
结构式 CAS# 200880-41-7, Coatsome MG 6060LS
产品名称 Coatsome MG 6060LS
CAS 登录号 200880-41-7
分子式 C38H75O10P.Na
分子量 745.96
Coatsome MG 6060LS的详细资料
 
资料来源 SDS 样本
Cayman
www.caymanchem.com/msdss/15086m.pdf
浏览或下载

免责声明

本页所列之化学品安全技术说明书样本系 chemBlink 公司搜集的互联网公开信息,仅用于指导化学品安全技术说明书的编辑与制作。chemBlink 竭诚提供可靠信息,然而不承诺其完备与准确。 阅读全文...



常见问题 (FAQ)
什么是 SDS?   如何下载 SDS?   SDS 是否免费?   SDS 和 MSDS 有什么区别?



相关化学品安全技术说明书
黄独素 B   1-(3-氯苯基)-...   2-溴-7-甲氧基萘   1-(2-氯乙基)哌...   1,2-二肉豆蔻酰基...   (1R)-1-[[[...   (+)-桧烯   [2'-(氨基-κN...   4-氯-2-氨基-5...   4-氯-2-甲基-5...