全球化学品在线数据库

N-[4-(叔丁基)苯甲酰基]-L-苯丙氨酰-L-丙氨酰-L-亮氨酰-N6,N6-二乙基-L-赖氨酰-L-丝氨酸甲酯 化学品安全技术说明书 (CAS 1872382-47-2)

本页面提供 N-[4-(叔丁基)苯甲酰基]-L-苯丙氨酰-L-丙氨酰-L-亮氨酰-N6,N6-二乙基-L-赖氨酰-L-丝氨酸甲酯 (CAS 1872382-47-2) 的化学品安全技术说明书 (SDS),包括危险性、急救措施、储存与操作要求等信息。用户可免费下载 SDS 文件用于实验室或工业参考。

产品概述

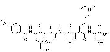
结构式 CAS# 1872382-47-2, N-[4-(叔丁基)苯甲酰基]-L-苯丙氨酰-L-丙氨酰-L-亮氨酰-N6,N6-二乙基-L-赖氨酰-L-丝氨酸甲酯
产品名称 N-[4-(叔丁基)苯甲酰基]-L-苯丙氨酰-L-丙氨酰-L-亮氨酰-N6,N6-二乙基-L-赖氨酰-L-丝氨酸甲酯
CAS 登录号 1872382-47-2
分子式 C43H66N6O8
分子量 795.02
N-[4-(叔丁基)苯甲酰基]-L-苯丙氨酰-L-丙氨酰-L-亮氨酰-N6,N6-二乙基-L-赖氨酰-L-丝氨酸甲酯的详细资料
 
资料来源 SDS 样本
Cayman
www.caymanchem.com/msdss/19237m.pdf
浏览或下载

免责声明

本页所列之化学品安全技术说明书样本系 chemBlink 公司搜集的互联网公开信息,仅用于指导化学品安全技术说明书的编辑与制作。chemBlink 竭诚提供可靠信息,然而不承诺其完备与准确。 阅读全文...



常见问题 (FAQ)
什么是 SDS?   如何下载 SDS?   SDS 是否免费?   SDS 和 MSDS 有什么区别?



相关化学品安全技术说明书
奥塞米韦酸   (S)-2-硝基-6...   (R)-2-硝基-6...   PA-824   2-(N-叔丁氧羰基...   2-氯-3-硝基-6...   1,1,3,3-四甲...   亮氨酰丙基内酯乙酸酯...   达西司坦   O-叔丁基-N-[(...