全球化学品在线数据库

(2E,4E,6E,8E,10E,12E)-2,7,11-三甲基-13-(2,6,6-三甲基-1-环己烯-1-基)-2,4,6,8,10,12-十三六烯醛 化学品安全技术说明书 (CAS 1638-05-7)

本页面提供 (2E,4E,6E,8E,10E,12E)-2,7,11-三甲基-13-(2,6,6-三甲基-1-环己烯-1-基)-2,4,6,8,10,12-十三六烯醛 (CAS 1638-05-7) 的化学品安全技术说明书 (SDS),包括危险性、急救措施、储存与操作要求等信息。用户可免费下载 SDS 文件用于实验室或工业参考。

产品概述

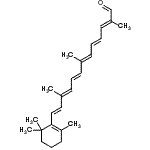
结构式 CAS# 1638-05-7, (2E,4E,6E,8E,10E,12E)-2,7,11-三甲基-13-(2,6,6-三甲基-1-环己烯-1-基)-2,4,6,8,10,12-十三六烯醛
产品名称 (2E,4E,6E,8E,10E,12E)-2,7,11-三甲基-13-(2,6,6-三甲基-1-环己烯-1-基)-2,4,6,8,10,12-十三六烯醛
CAS 登录号 1638-05-7
分子式 C25H34O
分子量 350.54
(2E,4E,6E,8E,10E,12E)-2,7,11-三甲基-13-(2,6,6-三甲基-1-环己烯-1-基)-2,4,6,8,10,12-十三六烯醛的详细资料
 
资料来源 SDS 样本
Ambeed
file.ambeed.com/static/upload/prosds/am/905/SDS-A904944.pdf
浏览或下载

免责声明

本页所列之化学品安全技术说明书样本系 chemBlink 公司搜集的互联网公开信息,仅用于指导化学品安全技术说明书的编辑与制作。chemBlink 竭诚提供可靠信息,然而不承诺其完备与准确。 阅读全文...



常见问题 (FAQ)
什么是 SDS?   如何下载 SDS?   SDS 是否免费?   SDS 和 MSDS 有什么区别?



相关化学品安全技术说明书
3-羟基马尿酸   乙基6-氟-4-氧代...   3-噻吩丙酸   SYBR Green...   4-[4-(溴甲基)...   4-苯并恶唑胺   3,5-二甲基-1H...   5-氯-3-甲基-1...   5-甲氧基-3-甲基...   7beta-羟基吴茱...