全球化学品在线数据库

枸橘苷 化学品安全技术说明书 (CAS 14941-08-3)

本页面提供 枸橘苷 (CAS 14941-08-3) 的化学品安全技术说明书 (SDS),包括危险性、急救措施、储存与操作要求等信息。用户可免费下载 SDS 文件用于实验室或工业参考。

产品概述

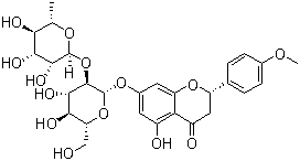
结构式 CAS# 14941-08-3, 枸橘苷; 枸橘甙
产品名称 枸橘苷
CAS 登录号 14941-08-3
分子式 C28H34O14
分子量 594.56
枸橘苷的详细资料
 
资料来源 SDS 样本
Sigma-Aldrich
www.sigmaaldrich.com/catalog/Lookup.do?N5=All&N3=mode+matchpartialmax&N1=S_ID&ST=RS&N25=0&F=PR&D7=0&N4=14941-08-3
浏览或下载
Carl-Roth
www.carlroth.com/downloads/sdb/en/7/SDB_7413_GB_EN.pdf
浏览或下载

免责声明

本页所列之化学品安全技术说明书样本系 chemBlink 公司搜集的互联网公开信息,仅用于指导化学品安全技术说明书的编辑与制作。chemBlink 竭诚提供可靠信息,然而不承诺其完备与准确。 阅读全文...



常见问题 (FAQ)
什么是 SDS?   如何下载 SDS?   SDS 是否免费?   SDS 和 MSDS 有什么区别?



相关化学品安全技术说明书
1,4-苯并二恶烷-...   3-(2,3-二氢-...   2,3-二氢-1,4...   光克洛   N,N-二乙基-2-...   3,4-二溴-5H-...   (顺式-4-氨基环己...   (反式-4-氨基环己...   N-(4-甲氧基苯基...   3,5-二碘溴苯