全球化学品在线数据库

光稳定剂 HS-112 化学品安全技术说明书 (CAS 129757-67-1)

本页面提供 光稳定剂 HS-112 (CAS 129757-67-1) 的化学品安全技术说明书 (SDS),包括危险性、急救措施、储存与操作要求等信息。用户可免费下载 SDS 文件用于实验室或工业参考。

产品概述

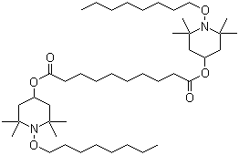
结构式 CAS# 129757-67-1, 光稳定剂 HS-112; 光稳定剂-123; 双(1-辛氧基-2,2,6,6-四甲基-4-哌啶基)癸二酸酯
产品名称 光稳定剂 HS-112
CAS 登录号 129757-67-1
分子式 C44H84N2O6
分子量 737.15
光稳定剂 HS-112的详细资料
 
资料来源 SDS 样本
Sigma-Aldrich
www.sigmaaldrich.com/catalog/Lookup.do?N5=All&N3=mode+matchpartialmax&N1=S_ID&ST=RS&N25=0&F=PR&D7=0&N4=129757-67-1
浏览或下载

免责声明

本页所列之化学品安全技术说明书样本系 chemBlink 公司搜集的互联网公开信息,仅用于指导化学品安全技术说明书的编辑与制作。chemBlink 竭诚提供可靠信息,然而不承诺其完备与准确。 阅读全文...



常见问题 (FAQ)
什么是 SDS?   如何下载 SDS?   SDS 是否免费?   SDS 和 MSDS 有什么区别?



相关化学品安全技术说明书
盐酸安其敏   氯(2,4-二氯苄基...   2-氯-4-(1H-...   5-乙酰基-1H-吡...   达洛鲁胺   3-羟基十一烷酸甲酯   (11aR)-10,...   (11aR)-10,...   (11aR)-10,...   (11aR)-3,7...