全球化学品在线数据库

甲基3,5-二溴-N-(三氟乙酰基)酪氨酸酯 化学品安全技术说明书 (CAS 105189-44-4)

本页面提供 甲基3,5-二溴-N-(三氟乙酰基)酪氨酸酯 (CAS 105189-44-4) 的化学品安全技术说明书 (SDS),包括危险性、急救措施、储存与操作要求等信息。用户可免费下载 SDS 文件用于实验室或工业参考。

产品概述

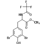
结构式 CAS# 105189-44-4, 甲基3,5-二溴-N-(三氟乙酰基)酪氨酸酯
产品名称 甲基3,5-二溴-N-(三氟乙酰基)酪氨酸酯
CAS 登录号 105189-44-4
分子式 C12H10Br2F3NO4
分子量 449.02
甲基3,5-二溴-N-(三氟乙酰基)酪氨酸酯的详细资料
 
资料来源 SDS 样本
Apollo
www.apolloscientific.co.uk/downloads/msds/PC6666_msds.pdf
浏览或下载

免责声明

本页所列之化学品安全技术说明书样本系 chemBlink 公司搜集的互联网公开信息,仅用于指导化学品安全技术说明书的编辑与制作。chemBlink 竭诚提供可靠信息,然而不承诺其完备与准确。 阅读全文...



常见问题 (FAQ)
什么是 SDS?   如何下载 SDS?   SDS 是否免费?   SDS 和 MSDS 有什么区别?



相关化学品安全技术说明书
3-溴异恶唑-5-甲...   2-氨基-alpha...   2-(2-氰基苯基)...   3,5-二氟苯乙酸   6-甲基咪唑并[1,...   1-丁氧基-4-甲基...   6-溴-1H-吲哚-...   5-氰基-1H-吲哚...   十氢-2-萘酚乙酸酯   十氢-2-萘酚...