Identification
| Name |
Miraxid |
| Synonyms |
2,2-Dimethylpropanoyloxymethyl (2S,5R,6R)-6-[(2-Amino-2-Phenyl-Acetyl)Amino]-3,3-Dimethyl-7-Oxo-4-Thia-1-Azabicyclo[3.2.0]Heptane-2-Carboxylate; 2,2-Dimethylpropanoyloxymethyl (2S,5R,6R)-6-(Azepan-1-Ylmethyleneamino)-3,3-Dimethyl-7-Oxo-4-Thia-1-Azabicyclo |
|
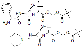
| Molecular Structure |
 |
| Molecular Formula |
C43H62N6O11S2 |
| Molecular Weight |
903.12 |
| CAS Registry Number |
98445-47-7 |
| SMILES |
[C@H]12SC([C@@H](N1C(=O)[C@H]2NC(=O)C(N)C3=CC=CC=C3)C(OCOC(=O)C(C)(C)C)=O)(C)C.[C@H]45SC([C@@H](N4C(=O)[C@H]5N=CN6CCCCCC6)C(OCOC(=O)C(C)(C)C)=O)(C)C |
| InChI |
1S/C22H29N3O6S.C21H33N3O5S/c1-21(2,3)20(29)31-11-30-19(28)15-22(4,5)32-18-14(17(27)25(15)18)24-16(26)13(23)12-9-7-6-8-10-12;1-20(2,3)19(27)29-13-28-18(26)15-21(4,5)30-17-14(16(25)24(15)17)22-12-23-10-8-6-7-9-11-23/h6-10,13-15,18H,11,23H2,1-5H3,(H,24,26);1 |
| InChIKey |
OWPUISNKTHIHSM-HJRDKPTPSA-N |
|