Online Database of Chemicals from Around the World

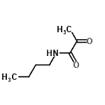
N-Butyl-2-oxopropanamide
[CAS 98435-83-7]

Suppliers
Atomax Chemicals Co., Ltd. China
+86 13417589054/
info@atomaxchem.com,atomax.chemicals@gmail.com
QQ Chat
Chemical manufacturer
Otava Ltd. Ukraine
+380 (44) 522-2458
order@otavachemicals.com
Chemical manufacturer since 1997
Identification
Name N-Butyl-2-oxopropanamide
Synonyms N-butyl-2-oxopropanamide
Molecular Structure CAS#: 98435-83-7, N-Butyl-2-oxopropanamide
Molecular Formula C7H13NO2
Molecular Weight 143.18
CAS Registry Number 98435-83-7
SMILES O=C(C)C(=O)NCCCC
InChI 1S/C7H13NO2/c1-3-4-5-8-7(10)6(2)9/h3-5H2,1-2H3,(H,8,10)
InChIKey XHRVIJZMIOHWHM-UHFFFAOYSA-N
Properties
Density 0.973g/cm3 (Cal.)
Market Analysis Reports
Related Products
Butyl 2-Oxocycl...  Butyl 5-Oxocycl...  4'-[(2-Butyl-4-...  4'-[(2-Butyl-4-...  1-Butyl-6-Oxo-1...  Butyl 6-Oxo-1,6...  Butyl 5-Oxohexa...  2-Butyloxolane;...  Butyl 9-Oxonona...  Butyl 5-Oxo-DL-...  (1Z)-N-Butyl-2-...  4-Butyl-9-Oxo-4...  Butyl 1-Oxo-1H-...  3-Butyl-5-Oxopy...  1-Butyl-5-Oxopy...  2-Butyl (S)-5-O...  2-[2-Butyl-4-Ox...  Butyl (2E)-2-(4...  [3-butyl-1,5-dihydro-5-oxo-1-[2-(trifluoromethyl)phenyl]-4H-1,2,4-triazol-4-yl]methyl][1,1'-biphenyl]-2-yl]sulfonyl]-3-methyl-2-thiophenecarboxamide";[147776-06-5]">N-{[4'-({3-Buty...  Butyloxycarbony...