Online Database of Chemicals from Around the World

[[[5-[2,4-Dioxo-5-[(E)-3-[3-[2-[5-(7-Oxo-3-Thia-6,8-Diazabicyclo[3.3.0 ]Oct-2-Yl)Pentanoylamino]Ethyldisulfanyl]Propanoylamino]Prop-1-Enyl]Pyrimidin-1-Yl]-3-Hydroxy-Oxolan-2-Yl]Methoxy-Hydroxy-Phosphoryl]Oxy-Hydroxy-Phosphoryl]Oxyphosphonic Acid
[CAS 97068-12-7]

Suppliers
CAS#: 97068-12-7
Product: [[[5-[2,4-Dioxo-5-[(E)-3-[3-[2-[5-(7-Oxo-3-Thia-6,8-Diazabicyclo[3.3.0 ]Oct-2-Yl)Pentanoylamino]Ethyldisulfanyl]Propanoylamino]Prop-1-Enyl]Pyrimidin-1-Yl]-3-Hydroxy-Oxolan-2-Yl]Methoxy-Hydroxy-Phosphoryl]Oxy-Hydroxy-Phosphoryl]Oxyphosphonic Acid
No suppilers available for the product.
Identification
Name [[[5-[2,4-Dioxo-5-[(E)-3-[3-[2-[5-(7-Oxo-3-Thia-6,8-Diazabicyclo[3.3.0 ]Oct-2-Yl)Pentanoylamino]Ethyldisulfanyl]Propanoylamino]Prop-1-Enyl]Pyrimidin-1-Yl]-3-Hydroxy-Oxolan-2-Yl]Methoxy-Hydroxy-Phosphoryl]Oxy-Hydroxy-Phosphoryl]Oxyphosphonic Acid
Synonyms [5-[2,4-Dioxo-5-[(E)-3-[3-[2-[5-(2-Oxo-1,3,3A,4,6,6A-Hexahydrothieno[3,4-D]Imidazol-6-Yl)Pentanoylamino]Ethyldisulfanyl]Propanoylamino]Prop-1-Enyl]Pyrimidin-1-Yl]-3-Hydroxy-Tetrahydrofuran-2-Yl]Methyl (Hydroxy-Phosphonooxy-Phosphoryl) Hydrogen Phosphate; [
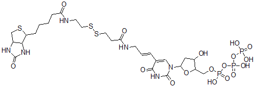
Molecular Structure CAS#: 97068-12-7, [[[5-[2,4-Dioxo-5-[(E)-3-[3-[2-[5-(7-Oxo-3-Thia-6,8-Diazabicyclo[3.3.0 ]Oct-2-Yl)Pentanoylamino]Ethyldisulfanyl]Propanoylamino]Prop-1-Enyl]Pyrimidin-1-Yl]-3-Hydroxy-Oxolan-2-Yl]Methoxy-Hydroxy-Phosphoryl]Oxy-Hydroxy-Phosphoryl]Oxyphosphonic Acid
Molecular Formula C27H43N6O17P3S3
Molecular Weight 912.77
CAS Registry Number 97068-12-7
SMILES C(O[P](O[P](O[P](=O)(O)O)(=O)O)(=O)O)C4OC(N1C(=O)NC(=O)C(=C1)\C=C\CNC(=O)CCSSCCNC(=O)CCCCC2SCC3NC(=O)NC23)CC4O
InChI 1S/C27H43N6O17P3S3/c34-18-12-23(48-19(18)14-47-52(43,44)50-53(45,46)49-51(40,41)42)33-13-16(25(37)32-27(33)39)4-3-8-28-22(36)7-10-55-56-11-9-29-21(35)6-2-1-5-20-24-17(15-54-20)30-26(38)31-24/h3-4,13,17-20,23-24,34H,1-2,5-12,14-15H2,(H,28,36)(H,29,35)(H,43
InChIKey OWJRLHWTPUNEQA-ONEGZZNKSA-N
Properties
Density 1.634g/cm3 (Cal.)
Market Analysis Reports
Related Products
5-[[1,3-Dioxo-3...  2-{[10,17-Dioxo...  [5-[2,4-Dioxo-5...  2,5-Dioxo-1-[5-...  N-(2,5-dioxooxo...  N-[(3S)-2,5-dio...  4-(2,5-Dioxooxo...  1,3-Dioxo-2-[[(...  3-[[1,3-Dioxo-3...  4-[[1,7-Dioxo-4...  2,4-dioxo-Penta...  2-(2,4-Dioxo-3-...  5-[(E)-(2,4-Dio...  4,10-Dioxo-5,5,...  {2,5-Dioxo-4-[(...  2,4-Dioxopentyl...  9-(3,4-Dioxopen...  [(2,5-Dioxo-4-P...  [(2,5-Dioxo-4-P...  (1,4-Dioxopenty...