Identification
| Name |
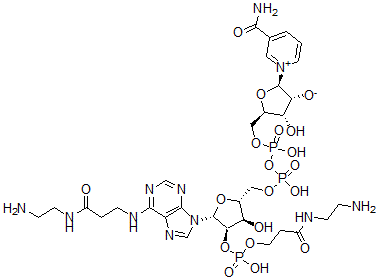
2'-(O)-(N-(2-Aminoethyl)Carbamoylethyl)Phosphono-N(6)-(N-(2-Aminoethyl)Carbamoylethyl)-NAD |
| Synonyms |
(2R,3R,4S,5R)-5-[[[[(2R,3R,4R,5R)-4-[[3-(2-Aminoethylamino)-3-Oxo-Propoxy]-Hydroxy-Phosphoryl]Oxy-5-[6-[[3-(2-Aminoethylamino)-3-Oxo-Propyl]Amino]Purin-9-Yl]-3-Hydroxy-Tetrahydrofuran-2-Yl]Methoxy-Hydroxy-Phosphoryl]Oxy-Hydroxy-Phosphoryl]Oxymethyl]-2-(3- |
|
| Molecular Structure |
 |
| Molecular Formula |
C31H48N11O19P3 |
| Molecular Weight |
971.70 |
| CAS Registry Number |
95754-68-0 |
| SMILES |
[C@H]1(O[C@@H]([C@@H](O)[C@H]1O[P](OCCC(=O)NCCN)(=O)O)CO[P](O[P](OC[C@H]3O[C@@H]([N+]2=CC(=CC=C2)C(=O)N)[C@H]([O-])[C@@H]3O)(=O)O)(=O)O)[N]4C5=C(N=C4)C(=NC=N5)NCCC(=O)NCCN |
| InChI |
1S/C31H48N11O19P3/c32-5-8-35-20(43)3-7-37-28-22-29(39-15-38-28)42(16-40-22)31-26(60-62(49,50)55-11-4-21(44)36-9-6-33)24(46)19(59-31)14-57-64(53,54)61-63(51,52)56-13-18-23(45)25(47)30(58-18)41-10-1-2-17(12-41)27(34)48/h1-2,10,12,15-16,18-19,23-26,30-31,45- |
| InChIKey |
GBXVAPUDNZDFFU-GNWATBQQSA-N |
|