Online Database of Chemicals from Around the World

6-[2-(2-Hydroxyethoxy)ethoxy]-6-oxohexanoate
[CAS 9010-89-3]

Suppliers
BOC Sciences USA
+1 (631) 485-4226
info@bocsci.com
Skype Chat
Chemical distributor
chemBlink massive supplier since 2012
Identification
Name 6-[2-(2-Hydroxyethoxy)ethoxy]-6-oxohexanoate
Synonyms DEG ADIPATE
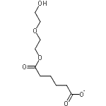
Molecular Structure CAS#: 9010-89-3, 6-[2-(2-Hydroxyethoxy)ethoxy]-6-oxohexanoate
Molecular Formula C10H17O6
Molecular Weight 233.24
CAS Registry Number 9010-89-3
SMILES OCCOCCOC(=O)CCCCC([O-])=O
InChI 1S/C10H18O6/c11-5-6-15-7-8-16-10(14)4-2-1-3-9(12)13/h11H,1-8H2,(H,12,13)/p-1
InChIKey BATDEVCTYREDAX-UHFFFAOYSA-M
Properties
Boiling point 412.873°C at 760 mmHg (Cal.)
Flash point 158.481°C (Cal.)
Market Analysis Reports
Related Products
2-{2-[2-(2-Hydr...  2-[2-(2-Hydroxy...  2-[2-(2-Hydroxy...  2-[2-(2-Hydroxy...  2-[2-(2-Hydroxy...  2-[2-(2-Hydroxy...  2-[2-(2-Hydroxy...  2-[2-(2-Hydroxy...  1-[2-(2-Hydroxy...  10-[2-(2-Hydrox...  3-[2-(2-Hydroxy...  1-[2-(2-Hydroxy...  2-(2-Hydroxyeth...  N-[2-(2-Hydroxy...  2-(2-Hydroxyeth...  2-(2-Hydroxyeth...  [2-(2-Hydroxyet...  [2-(2-Hydroxy-e...  4-[4-[2-(2-Hydr...  2-(2-Hydroxyeth...