Online Database of Chemicals from Around the World

Hydroxypropyl methyl cellulose
[CAS 9004-65-3]

List of Suppliers
Puyang Yintai Industrial Trading Co., Ltd. China
www.yintai-cn.com
+86 (393) 686-7799
443-9615
443-9715
+86 (393) 443-9815 / 638-3299
admin@puyangyintai.com
Chemical manufacturer
chemBlink Standard supplier since 2007
Shanghai Lite Chemical Technology Co., Ltd. China
www.litechem.com
+86 (21) 5448-4340
5448-6216
+86 (21) 5448-4340
sales@litechem.com
Chemical manufacturer since 2003
chemBlink Standard supplier since 2007
Simagchem Corporation China
www.simagchem.com
+86 13806087780
+86 (592) 268-0237
sale@simagchem.com
Chemical manufacturer since 2002
chemBlink Standard supplier since 2008
Shandong Head Co., Ltd. China
www.sdhead.com
+86 (533) 319-0552
+86 (533) 310-9551
sales@sdhead.com
Chemical manufacturer since 1992
chemBlink Standard supplier since 2009
Anhui Shanhe Medicinal Accessary Material Co., Ltd. China
www.shanhe01.com
+86 (554) 331-4180
+86 (554) 331-0019
yvonne@sunhere-excipients.com
zhouxy3412@163.com
Chemical manufacturer since 2001
chemBlink Standard supplier since 2009
Hefei TNJ Chemical Industry Co., Ltd. China
www.tnjchem.com
+86 (551) 6541-8684
+86 (551) 6541-8697
sales@tnjchem.com
Chemical manufacturer since 2001
chemBlink Standard supplier since 2010
BOC Sciences USA
www.bocsci.com
+1 (631) 485-4226
+1 (631) 614-7828
info@bocsci.com
Chemical manufacturer
chemBlink Standard supplier since 2010
Hangzhou Trigger Chemical Co., Ltd. China
www.triggerchem.com
+86 (571) 8880-7861
+86 (571) 8880-7903
triggerchem@126.com
Chemical manufacturer since 2010
chemBlink Standard supplier since 2010
Hengshui Haoye Chemical Co., Ltd. China
www.chemcoms.com
+86 (318) 210-2300
+86 18632882519
+86 (318) 210-3390
firmcn@gmail.com
Chemical distributor
chemBlink Standard supplier since 2011
The Dow Chemical Company USA
www.dow.com
+1 (989) 633-1706
fmdcigs@dow.com
Chemical manufacturer
chemBlink Standard supplier since 2012
Zhejiang Haishen Chemical Co., Ltd. China
www.haishenchem.com
+86 (575) 8278-1067
+86 (575) 8277-1608
info@haishenchem.com
Chemical manufacturer since 1990
chemBlink Standard supplier since 2013
Changsha Goomoo Chemical Technology Co., Ltd. China
www.goomoochem.cn
+86 (731) 8219-7655
+86 (731) 8489-7655
allen@goomoochina.com
Chemical manufacturer since 2012
chemBlink Standard supplier since 2013
Sidley Chemical Co., Ltd. China
www.celluloseether.com
+86 (539) 811-1353
rony@celluloseether.com
Chemical manufacturer since 2007
chemBlink Standard supplier since 2014
Labseeker Inc USA
www.labseeker.com
+1 (858) 750-1632
+1 (858) 412-1220
marketing@labseeker.com
Chemical manufacturer since 2002
chemBlink Standard supplier since 2015
Hangzhou Leap Chem Co., Ltd. China
www.leapchem.com
+86 (571) 8771-1850
market19@leapchem.com
QQ Chat
Chemical manufacturer since 2006
chemBlink Standard supplier since 2015
Jinan Great Chemical Industry Co., Ltd. China
www.chemgreat.com
+86 (531) 5866-8191
+86 (531) 8632-7119
sale001@chemgreat.com
QQ Chat
Chemical manufacturer since 2005
chemBlink Standard supplier since 2016
Chongqing Pengkai Fine Chemicals Co., Ltd. China
www.pan-key.com
+86 (23) 6277-7842
foreign@pan-key.com
Chemical manufacturer since 2014
chemBlink Standard supplier since 2018
Chemix Specialty Chemical Co., Ltd. China
www.chemixsc.com
+86 (21) 5776-0209
sales2@chemixsc.com
Chemical manufacturer since 2010
chemBlink Standard supplier since 2018
Shandong Michem Chemical Co., Ltd. China
www.michemicals.com
+86 15066159916
david@michemicals.com
Chemical manufacturer since 2018
chemBlink Standard supplier since 2019
Jinzhou Hpmc Cellulose Co., Ltd. China
www.chinahpmccellulose.com
+86 (311) 8565-4153
hktkljn@hotmail.com
Chemical manufacturer since 1998
chemBlink Standard supplier since 2019
Jinzhou Cellulose Ethers Co., Ltd. China
www.hpmccelluloseether.com
+86 (311) 8565-4153
+86 (311) 8565-4153
hktkljn@gmail.com
Chemical manufacturer since 2008
chemBlink Standard supplier since 2020
Neostar United (Changzhou) Industrial Co., Ltd. China
www.neostarunited.com
+86 (519) 8555-7386
+86 18015025600
+86 (519) 8555-7389
marketing1@neostarunited.com
Chemical distributor since 2014
chemBlink Standard supplier since 2020
Zhejiang Sheng Xiao Chemicals Co., Ltd. China
www.shengxiaochemical.com
+86 (570) 308-2488
308-0881
+86 (570) 308-5678
sx@shengxiaochemical.com
Chemical manufacturer since 1987
chemBlink Standard supplier since 2020
Shandong Sleo Chemical Technology Co., Ltd. China
www.sleochem.com
+86 18560069377
info@sleochem.com
Chemical manufacturer since 2008
chemBlink Standard supplier since 2020
Hangzhou Foreign Economic Relations and Trade Service Co., Ltd China
www.triggerchem.cn
+86 13957167880
triggerchem@126.com
QQ Chat
Chemical distributor since 2000
chemBlink Standard supplier since 2020
Jiangxi Alpha Hi-Tech Pharmaceutical Co., Ltd China
en.alphahi-tech.com
+86 (510) 8501-0237
overseamarketing@alphahi-tech.com
2881931019@qq.com
Chemical manufacturer since 2009
chemBlink Standard supplier since 2021
Jinan maissen new material co., Ltd. China
www.maissen-hpmc.com
+86 17731143133
nate@mailose.com
Chemical manufacturer since 2019
chemBlink Standard supplier since 2021
Kima Chemical Co., Ltd. China
www.kimachemical.com
+86 15169331170
sales@kimachemical.com
Chemical manufacturer since 2015
chemBlink Standard supplier since 2021
Listal Trading Co., Ltd. China
www.listalhpmc.com
+86 15075116770
listal.hpmc@Gmail.com
Chemical manufacturer since 2016
chemBlink Standard supplier since 2022
Shandong Zhishang Chemical Co., Ltd. China
www.zhishangchemical.com
+86 17653113209
13065062079
sales001@sdzschem.com
sales002@sdzschem.com
QQ Chat
Chemical manufacturer since 2016
chemBlink Standard supplier since 2022
Shandong Look Chemical Co., Ltd. China
www.sdlookchem.com
+86 17653113219
sales01@sdlookchem.com
QQ Chat
Chemical distributor since 2016
chemBlink Standard supplier since 2022
Hebei Tangpeng Import & Export Trading Co., Ltd. China
www.hbtangpeng.com
+86 (0311) 8690-2578
+86 (0311) 8690-2578
tongboshao@gmail.com
Chemical manufacturer since 2019
chemBlink Standard supplier since 2022
Anxin Cellulose Co., Ltd. China
www.ihpmc.com
+86 15269329906
sales@ihpmc.com
WeChat: +86 15269329906
WhatsApp:+8615269329906
Chemical manufacturer since 2022
chemBlink Standard supplier since 2022
Riverland Trading LLC. USA
www.riverlandtrading.com
+1 (336).944-2293
bens@riverlandtrading.com
Chemical distributor
chemBlink Standard supplier since 2023
Hebei Haoshuo Chemical Co., Ltd. China
www.hpmcfactory.com
+86 (0311) 8569-0996
+86 (0311) 8569-0996
asahisales01@gmail.com
Chemical manufacturer since 2016
chemBlink Standard supplier since 2023
Aajiang Jiuzhou Chem Co., Ltd. China
www.jiuzhou-chem.com
+86 13454675544
jamie@jiuzhou-chem.com
QQ Chat
WeChat: +86 18632988332
WhatsApp:+86 18632988332
Chemical manufacturer since 2007
chemBlink Standard supplier since 2023
Hebei Cellulose Ethers Co., Ltd. China
www.hpmccelluloses.com
+86 (0311) 8569-3256
sales@hpmccelluloses.com
WeChat: +8613731126075
WhatsApp:+8613731126075
Chemical manufacturer since 2008
chemBlink Standard supplier since 2023
Puyang Kaisheng Chemical Co., Ltd. China
www.pykshglookchem.com
+86 (0393) 698-6680
ashleywang2019@hotmail.com
Skype Chat
Chemical manufacturer since 2019
chemBlink Standard supplier since 2024
Guilin Qihong Technology Co., Ltd. China
www.qh-tech.cn
+86 13132738337
online@qh-tech.cn
Chemical manufacturer since 2016
chemBlink Standard supplier since 2025
Cangzhou Bohai New District Anxin Chemistry Co., Ltd. China
www.hpmcproducer.com
+86 15269348310
+86 (317) 555-3727
sales@ihpmc.com
WeChat: +86-152-69348310
WhatsApp:+86-152-69348310
Chemical manufacturer since 2020
Whyte Chemicals UK
www.whytechemicals.co.uk
+44 (20) 8346-5946
+44 (20) 8349-4589
sales@whytechemicals.co.uk
Chemical distributor
Scientific Polymer Products, Inc. USA
www.scientificpolymer.com
+1 (585) 265-0413
+1 (585) 265-1390
custserv@scipoly.com
Chemical manufacturer
Punjab Chemicals & Crop Protection Limited India
www.punjabchemicals.com
+91 (22) 2674-7900
+91 (22) 2673-6193 / 2673-6178
pharmainfo@punjabchemicals.com
Chemical manufacturer since 1975

Identification
ClassificationSurfactant >> Nonionic surfactant >> Polyol ester type
NameHydroxypropyl methyl cellulose
Synonyms(Hydroxypropyl)methyl cellulose
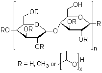
Molecular StructureHydroxypropyl methyl cellulose molecular structure (CAS 9004-65-3)
Molecular Weight~86000
CAS Registry Number9004-65-3
EC Number618-389-6
Properties
Density1.39
Water solubilitySOLUBLE
Safety Data
Safety StatementsS24/25  Details
Hazard Classification
up    Details
HazardClassCategory CodeHazard Statement
Specific target organ toxicity - repeated exposureSTOT RE1H372
SDSAvailable
up Discovery and Applications
Hydroxypropyl methyl cellulose (HPMC) is a chemically modified cellulose derivative widely used in various industrial and commercial applications. The compound was first synthesized in the mid-20th century as part of research aimed at developing new materials with improved properties over traditional cellulose. Its unique chemical structure, which includes both hydroxypropyl and methyl groups, gives it distinctive properties that make it useful in a range of applications.

The discovery of HPMC can be traced back to the 1950s when researchers sought to modify cellulose to enhance its solubility and functionality. By introducing hydroxypropyl and methyl groups into the cellulose structure, scientists created a compound that could dissolve in water and form gels or films, which was a significant advancement over the insolubility of native cellulose. This modification not only improved the solubility of cellulose but also allowed for a range of functional properties that made HPMC valuable in various fields.

One of the primary applications of Hydroxypropyl methyl cellulose is as a thickening and stabilizing agent in the food industry. HPMC is used to modify the viscosity and texture of food products, such as sauces, dressings, and baked goods. Its ability to form a gel-like consistency when dissolved in water helps improve the texture and consistency of these products. Additionally, HPMC acts as a stabilizer in food formulations, preventing the separation of ingredients and enhancing the overall quality of the final product.

In the pharmaceutical industry, HPMC is used as an excipient in tablet and capsule formulations. It serves as a binder and disintegrant, helping to hold the tablet together and facilitate its breakdown and release of the active pharmaceutical ingredient in the body. The compound’s properties allow it to form a controlled-release matrix, which can be crucial for managing the release rate of drugs and improving patient compliance.

HPMC is also widely used in the construction industry, particularly in the formulation of cement-based products and coatings. It acts as a water-retention agent, helping to improve the workability and adhesion of cement and plaster. By maintaining moisture levels during the curing process, HPMC ensures better bonding and finishing of construction materials.

In addition to these applications, Hydroxypropyl methyl cellulose is utilized in personal care products, including cosmetics and pharmaceuticals. It is used in products such as lotions, creams, and gels due to its ability to provide a smooth texture and stabilize formulations.

Despite its widespread use, the safety profile of HPMC is generally considered favorable. It is non-toxic and biodegradable, which makes it suitable for use in a variety of consumer products. However, as with any chemical substance, proper handling and adherence to safety guidelines are recommended.

In summary, Hydroxypropyl methyl cellulose is a versatile compound with a range of applications in the food, pharmaceutical, construction, and personal care industries. Its unique chemical properties, including solubility and gel-forming ability, have made it a valuable component in many products and processes.

References

none
Market Analysis Reports
Related Products
3-Hydroxypropyl...  3-(3-Hydroxypro...  5-(3-Hydroxypro...  1-(2-Hydroxypro...  N-(2-Hydroxypro...  2-(6-((2-Hydrox...  1-(2-Hydroxypro...  1-(3-Hydroxypro...  N-(2-Hydroxypro...  (2R)-2-Hydroxyp...  Hydroxypropyl M...  Hydroxypropyl m...  (2-Hydroxypropy...  (2-Hydroxypropy...  1-(2-Hydroxypro...  2-(2-Hydroxypro...  3-[(1S)-1-Hydro...  3-[(1R)-1-Hydro...  N-(3-Hydroxypro...  2-Hydroxypropyl...