Online Database of Chemicals from Around the World

Mogroside I-E1
[CAS 88901-39-7]

List of Suppliers
Chengdu Biopurify Phytochemicals Ltd. China
www.phytopurify.com
+86 (28) 8263-3860
8263-3987
+86 (28) 8263-3165
sales@biopurify.com
biopurify@gmail.com
QQ Chat
Skype Chat
Chemical manufacturer
chemBlink Standard supplier since 2017

Identification
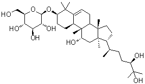
NameMogroside I-E1
Synonyms(3beta,9beta,10alpha,11alpha,24R)-11,24,25-Trihydroxy-9-methyl-19-norlanost-5-en-3-yl beta-D-glucopyranoside
Molecular StructureMogroside I-E1 molecular structure (CAS 88901-39-7)
Molecular FormulaC36H62O9
Molecular Weight638.87
CAS Registry Number88901-39-7
Properties
SolubilityInsoluble (5.7E-4 g/L) (25 °C), Calc.*
Density1.23±0.1 g/cm3 (20 °C 760 Torr), Calc.*
*Calculated using Advanced Chemistry Development (ACD/Labs) Software V11.02 (©1994-2016 ACD/Labs)
Market Analysis Reports
Related Products
Mofebutazone  Mofegiline hydr...  Mofezolac  Mofloverine  Mofoxime  MOG (35-55)  MOG (35-55)  MOG (35-55)  Moganite  Mogrol  Mogroside I-A1  Mogroside II-E  Mogroside II-A1  Mogroside II-A2  Mogroside II A  Mogroside II B  Mogroside III  Mogroside III-E  Mogroside III-A...  Mogroside III-A...