Online Database of Chemicals from Around the World

(2,2'-L-Serine)-Gramicidin S
[CAS 75993-96-3]

Suppliers
CAS#: 75993-96-3
Product: (2,2'-L-Serine)-Gramicidin S
No suppilers available for the product.
Identification
Name (2,2'-L-Serine)-Gramicidin S
Synonyms (Ser(2,2'))-Gs; Gramicidin S, 2-L-Serine-7-L-Serine-
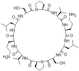
Molecular Structure CAS#: 75993-96-3, (2,2'-L-Serine)-Gramicidin S
Molecular Formula C48H84N12O12
Molecular Weight 1021.26
CAS Registry Number 75993-96-3
SMILES [C@@H]13N(C(=O)[C@@H](NC(=O)[C@@H](NC(=O)[C@@H](NC(=O)[C@@H](NC(=O)[C@H]2N(C(=O)[C@@H](NC(=O)[C@@H](NC(=O)[C@@H](NC(=O)[C@@H](NC1=O)C(C)C)CCCN)CC(C)C)CO)CCC2)C(C)C)CCCN)CC(C)C)CO)CCC3
InChI 1S/C48H84N12O12/c1-25(2)21-31-41(65)55-33(23-61)47(71)59-19-11-15-35(59)43(67)58-38(28(7)8)46(70)52-30(14-10-18-50)40(64)54-32(22-26(3)4)42(66)56-34(24-62)48(72)60-20-12-16-36(60)44(68)57-37(27(5)6)45(69)51-29(13-9-17-49)39(63)53-31/h25-38,61-62H,9-24,49-50H2,1-8H3,(H,51,69)(H,52,70)(H,53,63)(H,54,64)(H,55,65)(H,56,66)(H,57,68)(H,58,67)/t29-,30-,31-,32-,33-,34-,35-,36-,37-,38-/m0/s1
InChIKey HKFAPAJSPVVFOZ-YRYMBYOHSA-N
Properties
Density 1.278g/cm3 (Cal.)
Boiling point 1385.506°C at 760 mmHg (Cal.)
Flash point 791.725°C (Cal.)
Market Analysis Reports
Related Products
L-Serine benzyl...  D-Serine Benzyl...  L-Serine N-Carb...  Serine carboxyp...  31-L-Serine-alp...  L-Serine-3,3-d2  Serine-2,3,3-D3  D-Serine 1,1-Di...  D-Serine ethyl ...  DL-Serine ethyl...  Serine human an...  L-Serine hydroc...  D-Serine Hydrog...  125-L-Serine-2-...  L-Serine beta-l...  4-D-Serine-6-D-...  Serine Methyl E...  Boc-L-serine me...  L-Serine methyl...  Fmoc-L-serine m...