Online Database of Chemicals from Around the World

Pentaerythritol tetra(mercaptopropionate)
[CAS 7575-23-7]

List of Suppliers
Shanghai Rory Fine Chemical Co., Ltd. China
www.rorychem.com
+86 (21) 5070-2305
+86 (21) 5070-4994
rorychem@hotmail.com
13701863355@139.com
Chemical manufacturer since 2005
chemBlink Standard supplier since 2007
Hefei TNJ Chemical Industry Co., Ltd. China
www.tnjchem.com
+86 (551) 6541-8684
+86 (551) 6541-8697
sales@tnjchem.com
Chemical manufacturer since 2001
chemBlink Standard supplier since 2010
BOC Sciences USA
www.bocsci.com
+1 (631) 485-4226
+1 (631) 614-7828
info@bocsci.com
Chemical manufacturer
chemBlink Standard supplier since 2010
KS Laboratories Co., Ltd. South Korea
www.kslabo.co.kr
+82 (61) 753-9717
+82 (61) 753-9718
semiyong@kslabo.co.kr
Chemical manufacturer
chemBlink Standard supplier since 2012
Guangzhou Swan Chemical Co., Ltd. China
www.swanchemical.com
+86 (20) 3104-4292
+86 (20) 3107-8112
helenlisa2003@gmail.com
QQ Chat
Chemical manufacturer since 1992
chemBlink Standard supplier since 2014
Qingdao ZKHT Industry Co., Ltd. China
www.zkhtchem.com
+86 (532) 8689-8076
+86 15153292017
+86 (532) 8689-8076
zkhtchem@163.com
QQ Chat
Chemical manufacturer since 2012
chemBlink Standard supplier since 2017
Anhui Royal Chemical Co., Ltd. China
www.royal-chem.com
+86 (25) 8663-9253
+86 (25) 5227-9193
zoey.zhao@royal-chem.com
Chemical manufacturer since 2008
chemBlink Standard supplier since 2019
Sinocure Chemical Group China
www.sinocurechem.com
+86 15550440621
info@sinocurechem.com
Chemical manufacturer since 2020

Identification
ClassificationChemical reagent >> Organic reagent >> Thiol salt
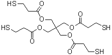
NamePentaerythritol tetra(mercaptopropionate)
SynonymsPentaerythritol tetra(beta-thiopropionate); Pentaerythritol tetra-beta-mercaptopropionate; Pentaerythritol tetrakis(3-mercaptopropanoate); Pentaerythritol tetrakis(mercaptopropionate); Pentaerythritol tetrakis(beta-mercaptopropionate); Pentaerythritol tetrakis(beta-thiopropionate); Pentaerythrityl tetrakis(beta-mercaptopropionate); Q 43; Q 43 (polythiol); QX 40; Tetrakis(3-mercaptopropionate)pentaerythritol; Tetramethylolmethane tetramercaptopropionate; Thiocure PETMP; Thiocure PETMP Low Odor; beta-Mercaptopropionic acid tetraester with pentaerythritol
Molecular StructurePentaerythritol tetra(mercaptopropionate) molecular structure (CAS 7575-23-7)
Molecular FormulaC17H28O8S4
Molecular Weight488.66
CAS Registry Number7575-23-7
EC Number231-472-8
SMILESC(CS)C(=O)OCC(COC(=O)CCS)(COC(=O)CCS)COC(=O)CCS
Properties
SolubilityInsoluble (7.8E-3 g/L) (25 °C), Calc.*
Density1.288±0.06 g/cm3 (20 °C 760 Torr), Calc.*
Refractive index1.53 (589.3 nm 25 °C)**
Boiling Point275 °C (1 mmHg)
*Calculated using Advanced Chemistry Development (ACD/Labs) Software V11.02 (©1994-2013 ACD/Labs)
**Homberg, Otto A.
Safety Data
Hazard Symbolssymbol symbol symbol   GHS07;GHS08;GHS09 Warning  Details
Risk StatementsH302-H317-H335-H371-H400-H410  Details
Safety StatementsP260-P261-P264-P270-P271-P272-P273-P280-P301+P317-P302+P352-P304+P340-P308+P316-P319-P321-P330-P333+P317-P362+P364-P391-P403+P233-P405-P501  Details
Hazard Classification
up    Details
HazardClassCategory CodeHazard Statement
Acute toxicityAcute Tox.4H302
Chronic hazardous to the aquatic environmentAquatic Chronic1H410
Acute hazardous to the aquatic environmentAquatic Acute1H400
Skin sensitizationSkin Sens.1AH317
Skin sensitizationSkin Sens.1H317
Specific target organ toxicity - single exposureSTOT SE3H335
Specific target organ toxicity - single exposureSTOT SE2H371
Eye irritationEye Irrit.2H319
Skin irritationSkin Irrit.2H315
Transport InformationUN 3334
SDSAvailable
up Discovery and Applications
Pentaerythritol tetra(mercaptopropionate) is a chemical compound with the molecular formula C₁₀H₁₂O₄S₄. It is known for its unique structure and wide-ranging applications, particularly in the fields of polymer chemistry and material science. The compound, which belongs to the class of mercaptans, features a pentaerythritol core esterified with four mercaptopropionate groups.

The synthesis of pentaerythritol tetra(mercaptopropionate) typically involves the reaction of pentaerythritol with mercaptopropionic acid under acidic conditions. The resulting product is a tetraester in which each hydroxyl group of the pentaerythritol is esterified with a mercaptopropionate group. This structure endows the compound with specific chemical properties that make it valuable in various industrial applications.

One of the primary applications of pentaerythritol tetra(mercaptopropionate) is in the field of polymer chemistry. It is used as a crosslinking agent in the production of thiol-ene and thiol-yne polymers. The compound's mercapto groups participate in thiol-ene or thiol-yne click reactions, which result in highly crosslinked networks with excellent mechanical properties. These polymers are used in a variety of applications, including coatings, adhesives, and composite materials, where enhanced strength, durability, and chemical resistance are required.

In addition to its role as a crosslinking agent, pentaerythritol tetra(mercaptopropionate) is utilized in the formulation of advanced materials such as hydrogels. The compound's ability to form strong crosslinks makes it suitable for creating hydrogels with controlled swelling properties and high mechanical strength. These hydrogels have applications in biomedical fields, including drug delivery systems and tissue engineering.

The compound also finds use in the synthesis of high-performance polymers for electronics and optoelectronics. Pentaerythritol tetra(mercaptopropionate) is incorporated into formulations for electronic encapsulants and coatings, where its crosslinking properties enhance the material's ability to protect sensitive electronic components from environmental stressors.

Furthermore, pentaerythritol tetra(mercaptopropionate) is employed in the production of specialty resins and sealants. Its crosslinking capabilities contribute to the development of resins with improved adhesive properties and resistance to harsh conditions, making it valuable for industrial applications such as construction and automotive industries.

Overall, pentaerythritol tetra(mercaptopropionate) is a versatile chemical compound with significant applications across various fields. Its unique structure and reactivity enable the development of advanced materials with enhanced properties, making it an important compound in the synthesis of high-performance polymers and materials.

References

Charles E. Hoyle, Andrew B. Lowe and Christopher N. Bowman. Thiol-click chemistry: a multifaceted toolbox for small molecule and polymer synthesis, Chem. Soc. Rev., 2010, 39, 1355.
Market Analysis Reports
Related Products
Pentaerythritol...  Pentaerythritol...  Pentaerythritol...  Pentaerythritol...  Pentaerythritol...  Pentaerythritol...  Pentaerythritol...  Pentaerythritol...  Pentaerythritol...  Pentaerythritol...  Pentaerythritol...  Pentaerythritol...  Pentaerythritol...  Pentaerythritol...  Pentaerythritol...  Pentaerythritol...  Pentaerythritol...  Pentaerythritol...  Pentaerythritol...  Pentaerythritro...