Online Database of Chemicals from Around the World

({(2S,3S,4R,5S)-5-(6-Amino-9H-purin-9-yl)-4-hydroxy-2-[(20E,22Z)-3,5,9-trihydroxy-8,8-dimethyl-3,5-dioxido-10,14,19-trioxo-2,4,6-trioxa-18-thia-11,15-diaza-3lambda5,5lambda5-diphosphahexacosa-20,2 2-dien-1-yl]tetrahydro-3-furanyl}methyl)phosphonic acid
[CAS 74418-29-4]

Suppliers
CAS#: 74418-29-4
Product: ({(2S,3S,4R,5S)-5-(6-Amino-9H-purin-9-yl)-4-hydroxy-2-[(20E,22Z)-3,5,9-trihydroxy-8,8-dimethyl-3,5-dioxido-10,14,19-trioxo-2,4,6-trioxa-18-thia-11,15-diaza-3lambda5,5lambda5-diphosphahexacosa-20,2 2-dien-1-yl]tetrahydro-3-furanyl}methyl)phosphonic acid
No suppilers available for the product.
Identification
Name ({(2S,3S,4R,5S)-5-(6-Amino-9H-purin-9-yl)-4-hydroxy-2-[(20E,22Z)-3,5,9-trihydroxy-8,8-dimethyl-3,5-dioxido-10,14,19-trioxo-2,4,6-trioxa-18-thia-11,15-diaza-3lambda5,5lambda5-diphosphahexacosa-20,2 2-dien-1-yl]tetrahydro-3-furanyl}methyl)phosphonic acid
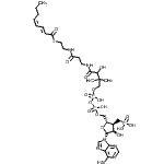
Molecular Structure CAS#: 74418-29-4, ({(2S,3S,4R,5S)-5-(6-Amino-9H-purin-9-yl)-4-hydroxy-2-[(20E,22Z)-3,5,9-trihydroxy-8,8-dimethyl-3,5-dioxido-10,14,19-trioxo-2,4,6-trioxa-18-thia-11,15-diaza-3lambda<sup>5</sup>,5lambda<sup>5</sup>-diphosphahexacosa-20,2 2-dien-1-yl]tetrahydro-3-furanyl}methyl)phosphonic acid
Molecular Formula C30H48N7O16P3S
Molecular Weight 887.73
CAS Registry Number 74418-29-4
SMILES CCC\C=C/C=C/C(=O)SCCNC(=O)CCNC(=O)C(O)C(C)(C)COP(O)(=O)OP(O)(=O)OC[C@H]3OC(n2cnc1c(N)ncnc12)[C@H](O)[C@@H]3CP(O)(O)=O
InChI 1S/C30H48N7O16P3S/c1-4-5-6-7-8-9-22(39)57-13-12-32-21(38)10-11-33-28(42)25(41)30(2,3)16-51-56(48,49)53-55(46,47)50-14-20-19(15-54(43,44)45)24(40)29(52-20)37-18-36-23-26(31)34-17-35-27(23)37/h6-9,17-20,24-25,29,40-41H,4-5,10-16H2,1-3H3,(H,32,38)(H,33,42)(H,46,47)(H,48,49)(H2,31,34,35)(H2,43,44,45)/b7-6-,9-8+/t19-,20-,24-,25?,29?/m1/s1
InChIKey YHRBHCTXYJGORE-OHKXNCGGSA-N
Properties
Density 1.672g/cm3 (Cal.)
Market Analysis Reports
Related Products
S-{1-[5-(6-Amin...  S-{1-[5-(6-Amin...  S-{1-[5-(6-Amin...  S-{1-[(2R,3S,4R...  S-{1-[5-(6-Amin...  S-{1-[(2R,3S,4R...  S-{1-[5-(6-Amin...  S-{(9R)-1-[(2R,...  S-{1-[5-(6-Amin...  (9R)-1-[(2R,3S,...  (6-Amino-7H-Pur...  (2-Amino-7H-pur...  (6-Amino-1H-pur...  [({1-[(6-Amino-...  N-[[[(1R)-2-(6-...  [2-(6-Amino-9H-...  P-[[1-[(6-Amino...  P-[[1-[(6-Amino...  [[(1R)-2-(6-Ami...  P-[[(1S)-2-(6-A...