Online Database of Chemicals from Around the World

(25R)-3beta-[[4-O-[4-O-[2-O-[3-O-(6-Deoxy-alpha-L-Mannopyranosyl)-beta-D-Xylopyranosyl]-beta-D-Glucopyranosyl]-beta-D-Glucopyranosyl]-beta-D-Galactopyranosyl]Oxy]-5alpha-Spirostan-12-One
[CAS 58546-18-2]

Suppliers
CAS#: 58546-18-2
Product: (25R)-3beta-[[4-O-[4-O-[2-O-[3-O-(6-Deoxy-alpha-L-Mannopyranosyl)-beta-D-Xylopyranosyl]-beta-D-Glucopyranosyl]-beta-D-Glucopyranosyl]-beta-D-Galactopyranosyl]Oxy]-5alpha-Spirostan-12-One
No suppilers available for the product.
Identification
Name (25R)-3beta-[[4-O-[4-O-[2-O-[3-O-(6-Deoxy-alpha-L-Mannopyranosyl)-beta-D-Xylopyranosyl]-beta-D-Glucopyranosyl]-beta-D-Glucopyranosyl]-beta-D-Galactopyranosyl]Oxy]-5alpha-Spirostan-12-One
Synonyms Agavoside D; Spirostan-12-One, 3-((O-6-Deoxy-Alpha-L-Mannopyranosyl-(1-3)-O-(Beta-D-Xylopyranosyl-(1-2))-O-Beta-D-Glucopyranosyl-(1-4)-O-Beta-D-Glucopyranosyl-(1-4)-Beta-D-Galactopyranosyl)Oxy)-, (3-Beta,5-Alpha,25R)-
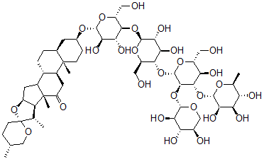
Molecular Structure CAS#: 58546-18-2, (25R)-3beta-[[4-O-[4-O-[2-O-[3-O-(6-Deoxy-alpha-L-Mannopyranosyl)-beta-D-Xylopyranosyl]-beta-D-Glucopyranosyl]-beta-D-Glucopyranosyl]-beta-D-Galactopyranosyl]Oxy]-5alpha-Spirostan-12-One
Molecular Formula C56H90O27
Molecular Weight 1195.31
CAS Registry Number 58546-18-2
SMILES [C@H]1(O[C@H]([C@H](O)[C@H]([C@H]1O)O)C)O[C@H]2[C@H](O)[C@H](O[C@H]([C@@H]2O[C@H]3[C@@H]([C@H]([C@@H](CO3)O)O)O)O[C@@H]4[C@H](O[C@H]([C@@H]([C@H]4O)O)O[C@@H]5[C@H](O[C@H]([C@@H]([C@H]5O)O)O[C@H]%11CC[C@]9([C@@H](CC[C@H]%10C8C[C@H]6[C@H]([C@@H]([C@]7(O6)CC[C@H](CO7)C)C)[C@]8(C(C[C@H]9%10)=O)C)C%11)C)CO)CO)CO
InChI 1S/C56H90O27/c1-20-8-11-56(73-18-20)21(2)34-29(83-56)13-27-25-7-6-23-12-24(9-10-54(23,4)26(25)14-33(61)55(27,34)5)75-51-43(70)39(66)45(31(16-58)77-51)79-52-44(71)40(67)46(32(17-59)78-52)80-53-48(82-49-41(68)36(63)28(60)19-72-49)47(37(64)30(15-57)76-53)81-50-42(69)38(65)35(62)22(3)74-50/h20-32,34-53,57-60,62-71H,6-19H2,1-5H3/t20-,21+,22+,23+,24+,25-,26+,27?,28-,29+,30-,31-,32-,34+,35+,36+,37-,38-,39-,40-,41-,42-,43-,44-,45-,46-,47+,48-,49+,50+,51-,52+,53+,54+,55-,56-/m1/s1
InChIKey OONXKIRGWVQZDH-PAZRYQCWSA-N
Properties
Density 1.539g/cm3 (Cal.)
Market Analysis Reports
Related Products
3-[(6-Deoxy-alp...  3-[(6-Deoxy-alp...  3-[(6-Deoxy-alp...  3beta-[(6-Deoxy...  (4-((6-Deoxy-al...  3beta-[(6-Deoxy...  3beta-[(6-Deoxy...  3beta-[(6-Deoxy...  3beta-[(6-Deoxy...  (3beta,21S)-3-[...  6-Deoxy-L-Manno...  2-Deoxy-2-(2-me...  2-Deoxy-6-O-(me...  2-Deoxy-6-O-(me...  5'-Deoxy-5'-[[(...  2-Deoxy-2-[[(4-...  2-Deoxy-2-[[(4-...  3'-Deoxy-3'-(N-...  6-Deoxy-3-O-met...  3b-[(6-Deoxy-3-...