Online Database of Chemicals from Around the World

Trimethylolpropane propoxylate triacrylate
[CAS 53879-54-2]

List of Suppliers
Mascot I.E. CO.,Ltd. China
www.mascotchem.com
+86 (519) 8501-0339
+86 13584504415
+86 (519) 8501-0366
info@mascotchem.com
QQ Chat
Chemical distributor since 2006
chemBlink Standard supplier since 2006
Simagchem Corporation China
www.simagchem.com
+86 13806087780
+86 (592) 268-0237
sale@simagchem.com
Chemical manufacturer since 2002
chemBlink Standard supplier since 2008
Sigma-Aldrich, Inc. China
www.sigmaaldrich.com
+86 (21) 6141-5566
800-819-3336
orderCN@sial.com
Chemical manufacturer since 1992
chemBlink Standard supplier since 2013
Hangzhou Leap Chem Co., Ltd. China
www.leapchem.com
+86 (571) 8771-1850
market19@leapchem.com
QQ Chat
Chemical manufacturer since 2006
chemBlink Standard supplier since 2015
Riverland Trading LLC. USA
www.riverlandtrading.com
+1 (336).944-2293
bens@riverlandtrading.com
Chemical distributor
chemBlink Standard supplier since 2023
Scientific Polymer Products, Inc. USA
www.scientificpolymer.com
+1 (585) 265-0413
+1 (585) 265-1390
custserv@scipoly.com
Chemical manufacturer

Identification
ClassificationCatalysts and additives >> Polymer
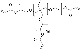
NameTrimethylolpropane propoxylate triacrylate
Molecular StructureTrimethylolpropane propoxylate triacrylate molecular structure (CAS 53879-54-2)
CAS Registry Number53879-54-2
EC Number500-123-4
Properties
Density1.054
Refractive index1.461
Safety Data
Hazard Classification
up    Details
HazardClassCategory CodeHazard Statement
Eye irritationEye Irrit.2H319
Skin irritationSkin Irrit.2H315
Specific target organ toxicity - single exposureSTOT SE3H335
Skin sensitizationSkin Sens.1H317
SDSAvailable
Market Analysis Reports
Related Products
Trimethylol pro...  Trimethylolprop...  Trimethylolprop...  Trimethylolprop...  Trimethylolprop...  Trimethylolprop...  Trimethylolprop...  Trimethylolprop...  Trimethylolprop...  Trimethylolprop...  Trimethylolprop...  Trimethylolprop...  Trimethylolprop...  Trimethylolprop...  Trimethylolprop...  Trimethylolprop...  Trimethylolprop...  Trimethylolprop...  Trimethylolprop...  Trimethyl ortho...