Online Database of Chemicals from Around the World

Edeine A
[CAS 52452-77-4]

Suppliers
CAS#: 52452-77-4
Product: Edeine A
No suppilers available for the product.
Identification
Name Edeine A
Synonyms 6-Amino-2-[[3-Amino-2-[[3-[[3-Amino-3-(4-Hydroxyphenyl)Propanoyl]Amino]-2-Hydroxy-Propanoyl]Amino]Propanoyl]Amino]-9-[[2-[3-(4-Aminobutylamino)Propylamino]-2-Oxo-Ethyl]Amino]-7-Hydroxy-9-Oxo-Nonanoic Acid; 6-Amino-2-[[3-Amino-2-[[3-[[3-Amino-3-(4-Hydroxyphenyl)-1-Oxopropyl]Amino]-2-Hydroxy-1-Oxopropyl]Amino]-1-Oxopropyl]Amino]-9-[[2-[3-(4-Aminobutylamino)Propylamino]-2-Oxoethyl]Amino]-7-Hydroxy-9-Oxononanoic Acid; 6-Amino-2-[[3-Amino-2-[[3-[[3-Amino-3-(4-Hydroxyphenyl)Propanoyl]Amino]-2-Hydroxy-Propanoyl]Amino]Propanoyl]Amino]-9-[[2-[3-(4-Aminobutylamino)Propylamino]-2-Keto-Ethyl]Amino]-7-Hydroxy-9-Keto-Pelargonic Acid
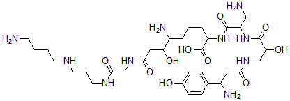
Molecular Structure CAS#: 52452-77-4, Edeine A
Molecular Formula C33H58N10O10
Molecular Weight 754.88
CAS Registry Number 52452-77-4
SMILES C1=C(C(N)CC(=O)NCC(O)C(=O)NC(C(=O)NC(C(=O)O)CCCC(N)C(O)CC(=O)NCC(=O)NCCCNCCCCN)CN)C=CC(=C1)O
InChI 1S/C33H58N10O10/c34-11-1-2-12-38-13-4-14-39-30(49)19-41-29(48)16-26(45)22(36)5-3-6-24(33(52)53)42-31(50)25(17-35)43-32(51)27(46)18-40-28(47)15-23(37)20-7-9-21(44)10-8-20/h7-10,22-27,38,44-46H,1-6,11-19,34-37H2,(H,39,49)(H,40,47)(H,41,48)(H,42,50)(H,43,51)(H,52,53)
InChIKey HENXXJCYASTLGZ-UHFFFAOYSA-N
Properties
Density 1.304g/cm3 (Cal.)
Boiling point 1240.308°C at 760 mmHg (Cal.)
Flash point 703.913°C (Cal.)
Market Analysis Reports
Related Products
Ecothiopate Iod...  Ecraprost;(11al...  Ecteinascidin-A...  Ectoin;(S)-1,4,...  Ectylurea;(E)-N...  Eculizumab;Soli...  Edaglitazone;BM...  Edaravone D5;5-...  Edaravone;3-Met...  Edatrexate;N-(4...  Edeine B;6-Amin...  Edeine D;(2R,6S...  Edeine F;(2R,6S...  Edelfosine;(2-M...  Edestin;Edestin...  Edgeworin;7-Hyd...  Edifenphos;O-Et...  Edifoligide  Edivoxetine;(al...  Edobacomab;Immu...