Identification
| Name |
1,2-Dipalmitoylphosphatidylglycerol |
| Synonyms |
[1-[(2,3-Dihydroxypropoxy-Hydroxy-Phosphoryl)Oxymethyl]-2-Hexadecanoyloxy-Ethyl] Hexadecanoate; Hexadecanoic Acid [1-[(2,3-Dihydroxypropoxy-Hydroxyphosphoryl)Oxymethyl]-2-(1-Oxohexadecoxy)Ethyl] Ester; Palmitic Acid [1-[(Glyceryloxy-Hydroxy-Phosphoryl)Oxymethyl]-2-Hexadecanoyloxy-Ethyl] Ester |
|
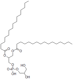
| Molecular Structure |
 |
| Molecular Formula |
C38H75O10P |
| Molecular Weight |
722.98 |
| CAS Registry Number |
4537-77-3 |
| SMILES |
C(C(COC(CCCCCCCCCCCCCCC)=O)OC(CCCCCCCCCCCCCCC)=O)O[P](OCC(CO)O)(O)=O |
| InChI |
1S/C38H75O10P/c1-3-5-7-9-11-13-15-17-19-21-23-25-27-29-37(41)45-33-36(34-47-49(43,44)46-32-35(40)31-39)48-38(42)30-28-26-24-22-20-18-16-14-12-10-8-6-4-2/h35-36,39-40H,3-34H2,1-2H3,(H,43,44) |
| InChIKey |
BIABMEZBCHDPBV-UHFFFAOYSA-N |
|