|
CAS#: 41776-63-0 Product: 3-(Allyloxyiminomethyl)Rifamycin SV No suppilers available for the product. |
| Name | 3-(Allyloxyiminomethyl)Rifamycin SV |
|---|---|
| Synonyms | 3-Formylrifamycin Sv O-Allyloxime; Brn 5418268 |
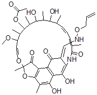
| Molecular Structure | ![]() |
| Molecular Formula | C41H52N2O13 |
| Molecular Weight | 780.87 |
| CAS Registry Number | 41776-63-0 |
| SMILES | C(ON/C=C2/C(=O)C1=C3C(=C(C4=C1C(=O)C(O/C=C/C(OC)C(C(OC(=O)C)C(C(O)C(C(O)C(C)\C=C\C=C(C(=O)NC2=C3O)\C)C)C)C)(O4)C)C)O)C=C |
| InChI | 1S/C41H52N2O13/c1-11-16-54-42-18-26-31-36(49)29-28(35(26)48)30-38(24(7)34(29)47)56-41(9,39(30)50)53-17-15-27(52-10)21(4)37(55-25(8)44)23(6)33(46)22(5)32(45)19(2)13-12-14-20(3)40(51)43-31/h11-15,17-19,21-23,27,32-33,37,42,45-47,49H,1,16H2,2-10H3,(H,43,51)/b13-12+,17-15+,20-14-,26-18+ |
| InChIKey | BXSLMNMYKCVGHJ-ZYOMNRCASA-N |
| Market Analysis Reports |