| Epsilon Chimie Chemical Manufacturer | France | |||
|---|---|---|---|---|
![]() |
+33 (2) 9842-4650 | |||
![]() |
pierre.cornec@epsilon-chimie.com | |||
| Chemical manufacturer | ||||
| Manchester Organics Ltd. | UK | |||
|---|---|---|---|---|
![]() |
+44 (1928) 710-200 | |||
![]() |
info@manchesterorganics.com | |||
| Chemical manufacturer | ||||
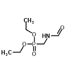
| Name | Diethyl (Formamidomethyl)Phosphonate |
|---|---|
| Synonyms | N-(diethoxyphosphorylmethyl)formamide |
| Molecular Structure | ![]() |
| Molecular Formula | C6H14NO4P |
| Molecular Weight | 195.15 |
| CAS Registry Number | 41003-95-6 |
| SMILES | CCOP(=O)(CNC=O)OCC |
| InChI | 1S/C6H14NO4P/c1-3-10-12(9,11-4-2)6-7-5-8/h5H,3-4,6H2,1-2H3,(H,7,8) |
| InChIKey | VVQKAXRYIKCIRF-UHFFFAOYSA-N |
| Density | 1.1±0.1g/cm3 (Cal.) |
|---|---|
| Boiling point | 348.8±25.0°C at 760 mmHg (Cal.) |
| Flash point | 164.8±23.2°C (Cal.) |
| Market Analysis Reports |