Online Database of Chemicals from Around the World

Scotophobin
[CAS 33579-45-2]

Suppliers
CAS#: 33579-45-2
Product: Scotophobin
No suppilers available for the product.
Identification
Name Scotophobin
Synonyms Scotophobin (Rat)
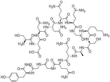
Molecular Structure CAS#: 33579-45-2, Scotophobin
Molecular Formula C62H97N23O26
Molecular Weight 1580.59
CAS Registry Number 33579-45-2
SMILES [C@H](NC([C@@H](N)CO)=O)(CC(O)=O)C(N[C@H](C(N[C@@H](CC(=O)N)C(N[C@H](C(N[C@@H](CCC(=O)N)C(NCC(N[C@H](C(=O)N[C@H](C(N[C@H](C(N[C@@H](CCC(=O)N)C(N[C@@H](CCC(=O)N)C(NCC(NCC(N[C@@H](CC1=CC=C(C=C1)O)C(N)=O)=O)=O)=O)=O)=O)C)=O)CO)CCCCN)=O)=O)=O)CCC(N)=O)=O)=O)CC(N)=O)=O
InChI 1S/C62H97N23O26/c1-27(52(101)78-34(11-15-43(67)91)57(106)79-32(9-13-41(65)89)54(103)73-22-47(95)72-23-48(96)77-36(51(71)100)18-28-5-7-29(88)8-6-28)75-62(111)40(26-87)85-56(105)31(4-2-3-17-63)76-49(97)24-74-55(104)33(10-14-42(66)90)80-58(107)35(12-16-44(68)92)81-59(108)37(19-45(69)93)83-60(109)38(20-46(70)94)84-61(110)39(21-50(98)99)82-53(102)30(64)25-86/h5-8,27,30-40,86-88H,2-4,9-26,63-64H2,1H3,(H2,65,89)(H2,66,90)(H2,67,91)(H2,68,92)(H2,69,93)(H2,70,94)(H2,71,100)(H,72,95)(H,73,103)(H,74,104)(H,75,111)(H,76,97)(H,77,96)(H,78,101)(H,79,106)(H,80,107)(H,81,108)(H,82,102)(H,83,109)(H,84,110)(H,85,105)(H,98,99)/t27-,30-,31-,32-,33-,34-,35-,36-,37-,38-,39-,40-/m0/s1
InChIKey JBJPODJOGAFSNE-FMJYRCEQSA-N
Properties
Density 1.433g/cm3 (Cal.)
Boiling point 2359.5°C at 760 mmHg (Cal.)
Flash point 1380.8°C (Cal.)
Market Analysis Reports
Related Products
Scopolamine N-O...  Scopolamine N-O...  Scopolamine Sul...  Scopoletin;6-Me...  Scopoletin acet...  Scopoletin beta...  (±)-Scopoline;r...  Scopoline;6-Met...  Scordinine  Scotch Broom, E...  (S)-Scoulerine;...  Scriptide;N-Hyd...  Scropolioside A  Sculponeatic ac...  Sculponeatin B  Sculponeatin K  Sculponeatin N  Sculponeatin O  Scutebarbatine ...  Scutebarbatine ...