Online Database of Chemicals from Around the World

3,7,13,17-Tetramethyl-21H,23H-Porphine-2,8,12,18-Tetrapropanoic Acid
[CAS 3082-03-9]

Suppliers
CAS#: 3082-03-9
Product: 3,7,13,17-Tetramethyl-21H,23H-Porphine-2,8,12,18-Tetrapropanoic Acid
No suppilers available for the product.
Identification
Name 3,7,13,17-Tetramethyl-21H,23H-Porphine-2,8,12,18-Tetrapropanoic Acid
Synonyms Coproporphyrin Ii
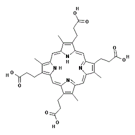
Molecular Structure CAS#: 3082-03-9, 3,7,13,17-Tetramethyl-21H,23H-Porphine-2,8,12,18-Tetrapropanoic Acid
Molecular Formula C36H38N4O8
Molecular Weight 654.72
CAS Registry Number 3082-03-9
SMILES C(C4=C(C5=CC1=C(C(=C([NH]1)C=C2N=C(C(=C2CCC(O)=O)C)C=C3N=C(C(=C3C)CCC(O)=O)C=C4[NH]5)CCC(O)=O)C)C)CC(O)=O
InChI 1S/C36H38N4O8/c1-17-21(5-9-33(41)42)29-15-30-23(7-11-35(45)46)19(3)27(39-30)14-28-20(4)24(8-12-36(47)48)32(40-28)16-31-22(6-10-34(43)44)18(2)26(38-31)13-25(17)37-29/h13-16,37-38H,5-12H2,1-4H3,(H,41,42)(H,43,44)(H,45,46)(H,47,48)
InChIKey PLEQQUFEIPMIHA-UHFFFAOYSA-N
Properties
Density 1.367g/cm3 (Cal.)
Boiling point 1264.685°C at 760 mmHg (Cal.)
Flash point 718.655°C (Cal.)
Market Analysis Reports
Related Products
N-(2,2,6,6-Tetr...  2,2,6,6-Tetrame...  2,2,6,6-Tetrame...  2,2,6,6-Tetrame...  2,2,6,6-Tetrame...  2-[[2-[N-(2,2,6...  N-(2,2,6,6-Tetr...  N-(2,2,6,6-Tetr...  3,8,13,17-Tetra...  3,8,12,17-Tetra...  3,3',3'',3'''-(...  4,4,5,5-Tetrame...  N,N',2,2-Tetram...  N,N,N',N'-tetra...  N,N,2,2-Tetrame...  3,3'-[(1,1,3,3-...  4,4'-[(1,1,3,3-...  3,3'-[1,1,3,3-T...  Tetramethyl Pro...  Tetramethyl 1,1...