Online Database of Chemicals from Around the World

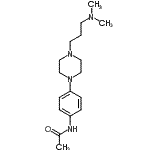
N-(4-{4-[3-(Dimethylamino)Propyl]-1-Piperazinyl}Phenyl)Acetamide
[CAS 299-48-9]

Suppliers
CAS#: 299-48-9
Product: N-(4-{4-[3-(Dimethylamino)Propyl]-1-Piperazinyl}Phenyl)Acetamide
No suppilers available for the product.
Identification
Name N-(4-{4-[3-(Dimethylamino)Propyl]-1-Piperazinyl}Phenyl)Acetamide
Molecular Structure CAS#: 299-48-9, N-(4-{4-[3-(Dimethylamino)Propyl]-1-Piperazinyl}Phenyl)Acetamide
Molecular Formula C17H28N4O
Molecular Weight 304.43
CAS Registry Number 299-48-9
SMILES CC(=O)NC1=CC=C(C=C1)N2CCN(CC2)CCCN(C)C
InChI 1S/C17H28N4O/c1-15(22)18-16-5-7-17(8-6-16)21-13-11-20(12-14-21)10-4-9-19(2)3/h5-8H,4,9-14H2,1-3H3,(H,18,22)
InChIKey DPCSPGOPQYRPCP-UHFFFAOYSA-N
Properties
Density 1.1±0.1g/cm3 (Cal.)
Boiling point 499.6±45.0°C at 760 mmHg (Cal.)
Flash point 255.9±28.7°C (Cal.)
Refractive index 1.565 (Cal.)
Market Analysis Reports
Related Products
1-[10-[3-(Dimet...  1-[10-[3-(Dimet...  1-[10-[3-(Dimet...  3-(3-Dimethylam...  3-(Dimethylamin...  2-[2-(2-Dimethy...  3-(3-Dimethylam...  1-(3-Dimethylam...  3-[3-(Dimethyla...  1-[3-(Dimethyla...  (1E)-N'-[3-(Dim...  N-[2-(Dimethyla...  N-(3-Dimethylam...  N-(3-(Dimethyla...  N-[3-(Dimethyla...  N-(3-Dimethylam...  N-(3-Dimethylam...  N-[3-(Dimethyla...  1-(3-Dimethylam...  1-[3-(Dimethyla...