Online Database of Chemicals from Around the World

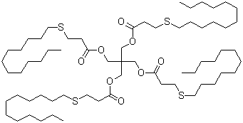
2,2-Bis[[3-(dodecylthio)-1-oxopropoxy]methyl]propane-1,3-diyl bis[3-(dodecylthio)propionate]
[CAS 29598-76-3]

List of Suppliers
Chembridge International Corp. Taipei / Dongguan / Nanjing China
www.chembridge.com.tw
+886 (2) 2649-6320
+86 (769) 2250-4087
+86 (25) 8471-2192
+886 (2) 2704-3915 / +86 (769) 2246-8225 / +86 (25) 8471-2052
cnservice@chembridge.net
Chemical manufacturer
chemBlink Standard supplier since 2011
AccuStandard Inc. USA
www.accustandard.com
+1 (203) 786-5290
+1 (203) 786-5287
orders@accustandard.com
Chemical manufacturer since 1986
Interchim Inc. USA
www.interchiminc.com
+1 (800) 560-8262
info@interchiminc.com
Chemical manufacturer
King Brother Chem Co., Ltd. China
www.uvchemkeys.com
+86 (21) 5878-5130
+86 (21) 5878-6585
sales@uvchemkeys.com
Chemical manufacturer

Identification
Name2,2-Bis[[3-(dodecylthio)-1-oxopropoxy]methyl]propane-1,3-diyl bis[3-(dodecylthio)propionate]
Molecular Structure2,2-Bis[[3-(dodecylthio)-1-oxopropoxy]methyl]propane-1,3-diyl bis[3-(dodecylthio)propionate] molecular structure (CAS 29598-76-3)
Molecular FormulaC65H124O8S4
Molecular Weight1161.95
CAS Registry Number29598-76-3
EC Number249-720-9
Safety Data
Hazard Classification
up    Details
HazardClassCategory CodeHazard Statement
Specific target organ toxicity - repeated exposureSTOT RE2H373
SDSAvailable
Market Analysis Reports
Related Products
1,8-Bis[(4-Dode...  2,4-Bis[(4-Dode...  Bis(Dodecylphen...  Bis(Dodecylphen...  Bis(4-dodecylph...  O,O-Bis(Dodecyl...  2,2-Bis{[2-(dod...  Bis(Dodecylsulf...  Bis(Dodecylthio...  2,4-Bis(dodecyl...  4,4-Bis(Dodecyl...  Bis(dodecyltrim...  Bisecurin I  Bis(epideoxydih...  2,3,4,5-Bis(Epo...  Bis(3,4-Epoxycy...  Bis(3,4-epoxycy...  p-Bis(Epoxyethy...  m-Bis(Epoxyethy...  Bis[(3,4-Epoxy-...