Online Database of Chemicals from Around the World

N,N,N,N',N',N'-Hexamethyl-1,2-Ethanediaminium Dichloride
[CAS 23252-62-2]

Suppliers
CAS#: 23252-62-2
Product: N,N,N,N',N',N'-Hexamethyl-1,2-Ethanediaminium Dichloride
No suppilers available for the product.
Identification
Name N,N,N,N',N',N'-Hexamethyl-1,2-Ethanediaminium Dichloride
Synonyms ethylenebis(trimethylammonium) dichloride
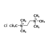
Molecular Structure CAS#: 23252-62-2, N,N,N,N',N',N'-Hexamethyl-1,2-Ethanediaminium Dichloride
Molecular Formula C8H22Cl2N2
Molecular Weight 217.18
CAS Registry Number 23252-62-2
EINECS 245-525-8
SMILES [Cl-].[Cl-].C[N+](C)(C)CC[N+](C)(C)C
InChI 1S/C8H22N2.2ClH/c1-9(2,3)7-8-10(4,5)6;;/h7-8H2,1-6H3;2*1H/q+2;;/p-2
InChIKey CVJXNAGSDFWQFN-UHFFFAOYSA-L
Properties
Refractive index (Cal.)
Market Analysis Reports
Related Products
Hexamethyleneim...  4-Hexamethylene...  2-(Hexamethylen...  Hexamethylene S...  Hexamethylenete...  hexamethylenete...  Hexamethylenete...  Hexamethylene T...  Hexamethylenimi...  N,N,N,N',N',N'-...  1,2,3,4,5,6-Hex...  Hexamethylguani...  Hexamethylguani...  Hexamethylguani...  Hexamethylguani...  N,N,N,N',N',N'-...  4,7,10,13,16,19...  1,4,7,10,13,16-...  2,4,6,8,9,10-He...  2,4,6,8,9,10-He...