Online Database of Chemicals from Around the World

5-(Dimethylsilyl)-3-Hydroxy-4-[(2-Methyl-2-Propanyl)Oxy]-8-Oxa-6-Thiabicyclo[3.2.1]Oct-2-Yl Acetate
[CAS 228115-77-3]

Suppliers
CAS#: 228115-77-3
Product: 5-(Dimethylsilyl)-3-Hydroxy-4-[(2-Methyl-2-Propanyl)Oxy]-8-Oxa-6-Thiabicyclo[3.2.1]Oct-2-Yl Acetate
No suppilers available for the product.
Identification
Name 5-(Dimethylsilyl)-3-Hydroxy-4-[(2-Methyl-2-Propanyl)Oxy]-8-Oxa-6-Thiabicyclo[3.2.1]Oct-2-Yl Acetate
Synonyms 5-(Dimethylsilyl)-3-hydroxy-4-[(2-methyl-2-propanyl)oxy]-8-oxa-6-thiabicyclo[3.2.1]oct-2-yl acetate (non-preferred name); 5-(Dimethylsilyl)-3-hydroxy-4-[(2-methyl-2-propanyl)oxy]-8-oxa-6-thiabicyclo[3.2.1]oct-2-yl-acetat (non-preferred name); Acétate de 5-(diméthylsilyl)-3-hydroxy-4-[(2-méthyl-2-propanyl)oxy]-8-oxa-6-thiabicyclo[3.2.1]oct-2-yle (non-preferred name)
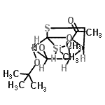
Molecular Structure CAS#: 228115-77-3, 5-(Dimethylsilyl)-3-Hydroxy-4-[(2-Methyl-2-Propanyl)Oxy]-8-Oxa-6-Thiabicyclo[3.2.1]Oct-2-Yl Acetate
Molecular Formula C14H26O5SSi
Molecular Weight 334.50
CAS Registry Number 228115-77-3
SMILES CC(=O)OC1C2CSC(O2)(C(C1O)OC(C)(C)C)[SiH](C)C
InChI 1S/C14H26O5SSi/c1-8(15)17-11-9-7-20-14(18-9,21(5)6)12(10(11)16)19-13(2,3)4/h9-12,16,21H,7H2,1-6H3
InChIKey AKBDUTDQJQGKGD-UHFFFAOYSA-N
Properties
Boiling point 404.0±45.0°C at 760 mmHg (Cal.)
Flash point 198.1±28.7°C (Cal.)
Refractive index (Cal.)
Market Analysis Reports
Related Products
1,1'-(Dimethyls...  [(Dimethylsilyl...  [(Dimethylsilyl...  N,N'-(Dimethyls...  rac-Dimethylsil...  Rac-(Dimethylsi...  2,2'-[(Dimethyl...  rac-Dimethylsil...  Dimethylsilylen...  5-(Dimethylsily...  [1-[5-[1-Dimeth...  5-(Dimethylsily...  4-(Dimethylsily...  2-[(Dimethylsil...  1-(Dimethylsily...  (4-(Dimethylsil...  3-(Dimethylsily...  2-(Dimethylsily...  3-(Dimethylsily...  4-(Dimethylsily...