|
CAS#: 152175-68-3 Product: 1-L-Glutamine-2-L-Glutamic Acid-3-L-Aspartic Acid-6-L-Leucine-8-L-Isoleucine-9-L-Asparagine-10-L-Valine-Guanylin (Rat Reduced) No suppilers available for the product. |
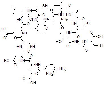
| Name | 1-L-Glutamine-2-L-Glutamic Acid-3-L-Aspartic Acid-6-L-Leucine-8-L-Isoleucine-9-L-Asparagine-10-L-Valine-Guanylin (Rat Reduced) |
|---|---|
| Synonyms | Uroguanylin |
| Molecular Structure | ![]() |
| Molecular Formula | C61H101N17O25S4 |
| Molecular Weight | 1600.81 |
| CAS Registry Number | 152175-68-3 |
| SMILES | [C@@H](NC([C@@H](NC([C@@H](NC([C@@H](NC([C@@H](NC([C@@H](NC([C@@H](NC([C@@H](NC([C@H](CCC(N)=O)N)=O)CCC(O)=O)=O)CC(O)=O)=O)CS)=O)CCC(O)=O)=O)CC(C)C)=O)CS)=O)[C@H](CC)C)=O)(C(N[C@H](C(N[C@H](C(N[C@H](C(N[C@H](C(NCC(N[C@H](C(O)=O)CS)=O)=O)[C@@H](C)O)=O)CS)=O)C)=O)C(C)C)=O)CC(N)=O |
| InChI | 1S/C61H101N17O25S4/c1-9-26(6)46(60(101)72-33(17-40(64)81)54(95)76-45(25(4)5)59(100)66-27(7)48(89)73-36(21-105)57(98)78-47(28(8)79)58(99)65-19-41(82)67-38(23-107)61(102)103)77-56(97)37(22-106)75-52(93)32(16-24(2)3)70-51(92)31(12-15-43(85)86)69-55(96)35(20-104)74-53(94)34(18-44(87)88)71-50(91)30(11-14-42(83)84)68-49(90)29(62)10-13-39(63)80/h24-38,45-47,79,104-107H,9-23,62H2,1-8H3,(H2,63,80)(H2,64,81)(H,65,99)(H,66,100)(H,67,82)(H,68,90)(H,69,96)(H,70,92)(H,71,91)(H,72,101)(H,73,89)(H,74,94)(H,75,93)(H,76,95)(H,77,97)(H,78,98)(H,83,84)(H,85,86)(H,87,88)(H,102,103)/t26-,27-,28+,29-,30-,31-,32-,33-,34-,35-,36-,37-,38-,45-,46-,47-/m0/s1 |
| InChIKey | SJMPVWVIVWEWJK-AXEIBBKLSA-N |
| Density | 1.377g/cm3 (Cal.) |
|---|---|
| Boiling point | 2000.752°C at 760 mmHg (Cal.) |
| Flash point | 1163.813°C (Cal.) |
| Market Analysis Reports |