Identification
| Name |
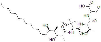
(2S)-2-[[(2S,3R)-2-[[(2S)-2-[[(2R,3R,4R,5R)-3,5-Dihydroxy-2,4-Dimethyloctadecanoyl]Amino]-3,3-Dimethylpent-4-Enoyl]Amino]-3-Hydroxybutanoyl]Amino]-3-Oxopropanoic Acid |
| Synonyms |
(2S)-2-[[(2S,3R)-2-[[(2S)-2-[[(2R,3R,4R,5R)-3,5-Dihydroxy-2,4-Dimethyl-Octadecanoyl]Amino]-3,3-Dimethyl-Pent-4-Enoyl]Amino]-3-Hydroxy-Butanoyl]Amino]-3-Oxo-Propanoic Acid; (2S)-2-[[(2S,3R)-2-[[(2S)-2-[[(2R,3R,4R,5R)-3,5-Dihydroxy-2,4-Dimethyl-1-Oxooctadecyl]Amino]-3,3-Dimethyl-1-Oxopent-4-Enyl]Amino]-3-Hydroxy-1-Oxobutyl]Amino]-3-Oxopropanoic Acid; (2S)-2-[[(2S,3R)-2-[[(2S)-2-[[(2R,3R,4R,5R)-3,5-Dihydroxy-2,4-Dimethyl-Octadecanoyl]Amino]-3,3-Dimethyl-Pent-4-Enoyl]Amino]-3-Hydroxy-Butanoyl]Amino]-3-Keto-Propionic Acid |
|
| Molecular Structure |
![CAS#: 147334-89-2, (2S)-2-[[(2S,3R)-2-[[(2S)-2-[[(2R,3R,4R,5R)-3,5-Dihydroxy-2,4-Dimethyloctadecanoyl]Amino]-3,3-Dimethylpent-4-Enoyl]Amino]-3-Hydroxybutanoyl]Amino]-3-Oxopropanoic Acid](/moreStructures/147334-89-2.gif) |
| Molecular Formula |
C34H61N3O9 |
| Molecular Weight |
655.87 |
| CAS Registry Number |
147334-89-2 |
| SMILES |
[C@H](C(=O)O)(NC([C@@H](NC([C@@H](NC([C@@H]([C@@H]([C@@H]([C@@H](CCCCCCCCCCCCC)O)C)O)C)=O)C(C)(C)C=C)=O)[C@@H](C)O)=O)C=O |
| InChI |
1S/C34H61N3O9/c1-8-10-11-12-13-14-15-16-17-18-19-20-26(40)22(3)28(41)23(4)30(42)37-29(34(6,7)9-2)32(44)36-27(24(5)39)31(43)35-25(21-38)33(45)46/h9,21-29,39-41H,2,8,10-20H2,1,3-7H3,(H,35,43)(H,36,44)(H,37,42)(H,45,46)/t22-,23-,24-,25+,26-,27+,28-,29-/m1/s1 |
| InChIKey |
HIRFPWCSYAMYPE-UXNIWNHASA-N |
|