|
CAS#: 128643-92-5 Product: 3,4,5-Trihydroxy-6-[[3,4,5-Trihydroxy-6-[5-Hydroxy-2-Methoxy-6-Methyl-4-[3,4,5-Trihydroxy-6-(Hydroxymethyl)Oxan-2-Yl]Oxyoxan-3-Yl]Oxyoxan-2-Yl]Methoxy]Oxane-2-Carboxylic Acid No suppilers available for the product. |
| Name | 3,4,5-Trihydroxy-6-[[3,4,5-Trihydroxy-6-[5-Hydroxy-2-Methoxy-6-Methyl-4-[3,4,5-Trihydroxy-6-(Hydroxymethyl)Oxan-2-Yl]Oxyoxan-3-Yl]Oxyoxan-2-Yl]Methoxy]Oxane-2-Carboxylic Acid |
|---|---|
| Synonyms | 3,4,5-Trihydroxy-6-[[3,4,5-Trihydroxy-6-[5-Hydroxy-2-Methoxy-6-Methyl-4-[3,4,5-Trihydroxy-6-(Hydroxymethyl)Tetrahydropyran-2-Yl]Oxy-Tetrahydropyran-3-Yl]Oxy-Tetrahydropyran-2-Yl]Methoxy]Tetrahydropyran-2-Carboxylic Acid; 3,4,5-Trihydroxy-6-[[3,4,5-Trihydroxy-6-[[5-Hydroxy-2-Methoxy-6-Methyl-4-[[3,4,5-Trihydroxy-6-(Hydroxymethyl)-2-Tetrahydropyranyl]Oxy]-3-Tetrahydropyranyl]Oxy]-2-Tetrahydropyranyl]Methoxy]-2-Tetrahydropyrancarboxylic Acid; 3,4,5-Trihydroxy-6-[[3,4,5-Trihydroxy-6-[5-Hydroxy-2-Methoxy-6-Methyl-4-(3,4,5-Trihydroxy-6-Methylol-Tetrahydropyran-2-Yl)Oxy-Tetrahydropyran-3-Yl]Oxy-Tetrahydropyran-2-Yl]Methoxy]Tetrahydropyran-2-Carboxylic Acid |
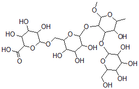
| Molecular Structure | ![]() |
| Molecular Formula | C25H42O21 |
| Molecular Weight | 678.59 |
| CAS Registry Number | 128643-92-5 |
| SMILES | C(C4C(C(C(C(OC1C(C(OC(C1OC2C(C(C(C(O2)COC3C(C(C(C(O3)C(O)=O)O)O)O)O)O)O)OC)C)O)O4)O)O)O)O |
| InChI | 1S/C25H42O21/c1-5-8(27)18(44-23-16(35)11(30)9(28)6(3-26)42-23)20(25(39-2)41-5)46-24-17(36)12(31)10(29)7(43-24)4-40-22-15(34)13(32)14(33)19(45-22)21(37)38/h5-20,22-36H,3-4H2,1-2H3,(H,37,38) |
| InChIKey | JLGBHQRXLBYEBD-UHFFFAOYSA-N |
| Density | 1.753g/cm3 (Cal.) |
|---|---|
| Boiling point | 1000.076°C at 760 mmHg (Cal.) |
| Flash point | 323.387°C (Cal.) |
| Market Analysis Reports |