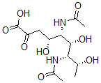
Identification
| Name |
(4R,5S,6R,7S,8R)-5,7-Diacetamido-4,6,8-Trihydroxy-2-Oxononanoic Acid |
| Synonyms |
(4R,5S,6R,7S,8R)-5,7-Diacetamido-4,6,8-Trihydroxy-2-Oxo-Nonanoic Acid; (4R,5S,6R,7S,8R)-5,7-Diacetamido-4,6,8-Trihydroxy-2-Keto-Pelargonic Acid; 5,7-Diacetamido-3,5,7,9-Tetradeoxy-Glycerogalacto-Nonulosonic Acid |
|
| Molecular Structure |
 |
| Molecular Formula |
C13H22N2O8 |
| Molecular Weight |
334.33 |
| CAS Registry Number |
112154-63-9 |
| SMILES |
[C@@H](C)([C@H](NC(C)=O)[C@H]([C@@H](NC(=O)C)[C@@H](CC(C(=O)O)=O)O)O)O |
| InChI |
1S/C13H22N2O8/c1-5(16)10(14-6(2)17)12(21)11(15-7(3)18)8(19)4-9(20)13(22)23/h5,8,10-12,16,19,21H,4H2,1-3H3,(H,14,17)(H,15,18)(H,22,23)/t5-,8-,10+,11+,12-/m1/s1 |
| InChIKey |
LRTLWORKIZTEJN-OIPGZRGRSA-N |
|