Online Database of Chemicals from Around the World

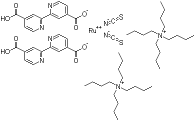
Di-tetrabutylammonium cis-bis(isothiocyanato)bis(2,2'-bipyridyl-4,4'-dicarboxylato)ruthenium(II) SDS (CAS 207347-46-4)

This page provides the Safety Data Sheet (SDS) for Di-tetrabutylammonium cis-bis(isothiocyanato)bis(2,2'-bipyridyl-4,4'-dicarboxylato)ruthenium(II) (CAS 207347-46-4), including information on hazards, first-aid measures, storage, handling requirements, and more. Users may download the SDS file free of charge for laboratory or industrial reference.

Product Info

structure of CAS# 207347-46-4, Di-tetrabutylammonium cis-bis(isothiocyanato)bis(2,2'-bipyridyl-4,4'-dicarboxylato)ruthenium(II)
Product Name Di-tetrabutylammonium cis-bis(isothiocyanato)bis(2,2'-bipyridyl-4,4'-dicarboxylato)ruthenium(II)
CAS Registry Number 207347-46-4
Molecular Formula C58H86N8O8RuS2
Molecular Weight 1188.55
More information of Di-tetrabutylammonium cis-bis(isothiocyanato)bis(2,2'-bipyridyl-4,4'-dicarboxylato)ruthenium(II)
 
Source SDS Document
Sigma-Aldrich
www.sigmaaldrich.com/catalog/Lookup.do?N5=All&N3=mode+matchpartialmax&N1=S_ID&ST=RS&N25=0&F=PR&D7=0&N4=207347-46-4
View / download
TCI
www.spectrumchemical.com/MSDS/TCI-B3514.pdf
View / download

Disclaimer

The SDS samples above are collected from the Internet by chemBlink and displayed here for the tutorial purpose only. chemBlink LLC provides the information contained herein in good faith but makes no representation as to its comprehensiveness or accuracy. Read full context...



Frequently Asked Questions (FAQ)
What is an SDS?   How do I download an SDS?   Are SDSs free?   What is the difference between SDS and MSDS?



More SDS files for chemicals
N2,N2-Diethyl-1...   (2R,3S,4S,5R)-3...   1,8-Bis(dimethy...   Methyl...   3-Methoxy-6-met...   2-Amino-4-metho...   1-Phenyl-2-buta...   Saikosaponin C   Saikosaponin A   4-Hydroxy-3,5-d...