Online Database of Chemicals from Around the World

Scopolamine butylbromide SDS (CAS 149-64-4)

This page provides the Safety Data Sheet (SDS) for Scopolamine butylbromide (CAS 149-64-4), including information on hazards, first-aid measures, storage, handling requirements, and more. Users may download the SDS file free of charge for laboratory or industrial reference.

Product Info

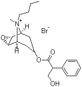
structure of CAS# 149-64-4, Scopolamine butylbromide;(-)-N-Butylscopolamine bromide; Hyoscine N-butyl bromide
Product Name Scopolamine butylbromide
CAS Registry Number 149-64-4
Molecular Formula C21H30BrNO4
Molecular Weight 440.37
More information of Scopolamine butylbromide
 
Source SDS Document
Sigma-Aldrich
www.sigmaaldrich.com/catalog/Lookup.do?N5=All&N3=mode+matchpartialmax&N1=S_ID&ST=RS&N25=0&F=PR&D7=0&N4=149-64-4
View / download
Matrix
www.matrixscientific.com/media/msds/09/83/44/MxMSDS_098344.pdf
View / download

Disclaimer

The SDS samples above are collected from the Internet by chemBlink and displayed here for the tutorial purpose only. chemBlink LLC provides the information contained herein in good faith but makes no representation as to its comprehensiveness or accuracy. Read full context...



Frequently Asked Questions (FAQ)
What is an SDS?   How do I download an SDS?   Are SDSs free?   What is the difference between SDS and MSDS?



More SDS files for chemicals
(S)-2-Piperazin...   2,4'-Diaminoben...   4-Methoxy-1,3-I...   3-Methoxyphthal...   2-Piperidino-5-...   Vorinostat   7-Phenylcarbamo...   2-Boc-aminometh...   Relacorilant   Chrysosplenol D