Online Database of Chemicals from Around the World

2,2-Dioctyl-1,3-propanediyl bis[4-O-alpha-D-glucopyranosyl-beta-D-glucopyranoside] SDS (CAS 1257852-99-5)

This page provides the Safety Data Sheet (SDS) for 2,2-Dioctyl-1,3-propanediyl bis[4-O-alpha-D-glucopyranosyl-beta-D-glucopyranoside] (CAS 1257852-99-5), including information on hazards, first-aid measures, storage, handling requirements, and more. Users may download the SDS file free of charge for laboratory or industrial reference.

Product Info

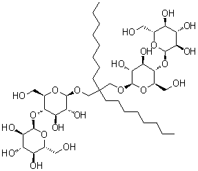
structure of CAS# 1257852-99-5, 2,2-Dioctyl-1,3-propanediyl bis[4-O-alpha-D-glucopyranosyl-beta-D-glucopyranoside]
Product Name 2,2-Dioctyl-1,3-propanediyl bis[4-O-alpha-D-glucopyranosyl-beta-D-glucopyranoside]
CAS Registry Number 1257852-99-5
Molecular Formula C43H80O22
Molecular Weight 949.08
More information of 2,2-Dioctyl-1,3-propanediyl bis[4-O-alpha-D-glucopyranosyl-beta-D-glucopyranoside]
 
Source SDS Document
Ambeed
file.ambeed.com/static/upload/prosds/am/763/SDS-A762877.pdf
View / download

Disclaimer

The SDS samples above are collected from the Internet by chemBlink and displayed here for the tutorial purpose only. chemBlink LLC provides the information contained herein in good faith but makes no representation as to its comprehensiveness or accuracy. Read full context...



Frequently Asked Questions (FAQ)
What is an SDS?   How do I download an SDS?   Are SDSs free?   What is the difference between SDS and MSDS?



More SDS files for chemicals
(2S)-4-[(tert-B...   tert-Butyl...   (3R)-3-Formyl-4...   N-[(3S)-3-Morph...   (2S)-2-(2-Oxoet...   (2R)-2-(2-Oxoet...   3-Bromo-7-fluor...   (2R)-2-Morpholi...   (2S)-2-Morpholi...   (3S)-3-(2-Oxoet...